tanuki- 2024-01-10 nnue-pytorch halfkp_1024x2-8-32 勾配の正規化
実験内容
- nnue-pytorch を用い、 halfkp_1024x2-8-32 ネットワークを学習させる。
- 勾配を平均 0 標準偏差 0 に正規化して学習させる。
棋譜生成
| 生成ルーチン | tanuki-棋譜生成ルーチン |
| 評価関数 | 水匠5 |
| 1手あたりの思考 | 深さ最大 9 思考ノード数最大 50,000 ノード |
| 開始局面 | foodgate の 2020 年~ 2021 年の棋譜を使用した。レーティング 3900 以上同士の対局のみ使用した。 32 手目までから 1 局面ランダムに選択し、その局面を開始局面とした。ランダムムーブはしなかった。 |
| 生成局面数 | 10 億局面 × 8 セット |
| 生成条件 | 対局は打ち切らず詰みの局面まで学習データに出力した |
シャッフル条件
| 生成ルーチン | tanuki-シャッフルルーチン |
| qsearch() | あり |
| 置換表 | 無効 |
機械学習
| 機械学習ルーチン | nnue-pytorch + やねうら王 https://github.com/nodchip/nnue-pytorch/tree/shogi.2023-10-29.halfkp_1024x2-8-32 |
| 学習モデル | halfkp_1024x2-8-32 |
| 学習手法 | ミニバッチ SGD |
| 初期学習率 (lr) | 0.0001220703125 |
| 最適化手法 | なし |
| 学習率調整手法 | Warmup + Newbob 風 |
| batch-size | 8192 |
| threads | 8 |
| num-workers | 8 |
| accelerator | gpu |
| devices | 1 |
| features | HalfKP |
| max-epoch | 1000000 |
| score-scaling | 361 |
| lambda | 0.5 |
| 勝敗項の教師信号 | 0.999 |
| num-batches-warmup | 10000 |
| newbob-decay | 0.5 |
| epoch-size | 1000000 |
| num-epochs-to-adjust-lr | 500 |
| 学習を打ち切る下限 newbob scale | 1e-5 |
| 1 epoch 毎のネットワークパラメーターのクリップ | あり |
| ネットワークパラメーターの量子化 | 量子化なしで学習し、収束後に量子化する。 |
| ネットワークパラメーターの初期化方法 | pytorch のデフォルトの初期化手法で初期化する。 |
| 勾配の正規化 | 平均 0 標準偏差 0 |
レーティング測定
| 対局相手 | tanuki-wcsc32 (マメット・ブンブク) https://docs.google.com/document/d/1_dMTIinvvF-zMX0_kNP1Ow1sKaFMqiQ93tyySycvSXM/edit?usp=sharing tanuki-.nnue-pytorch-2023-12-18 |
| 思考時間 | 持ち時間 300 秒 + 1 手 2 秒加算 |
| 対局数 | 5000 |
| 同時対局数 | 64 |
| ハッシュサイズ | 384 |
| 開始局面 | dlshogi 互角局面集の角換わりの割合が 10% になるよう間引いたもの |
実験結果
機械学習
検証ロス
勾配の正規化あり … 0.25782179840211966
勾配の正規化なし … 0.2558451730358986
ネットワークパラメーターの分布
mean=0.0 std=0.0
mean=0.001039203954860568 std=16.19374656677246
mean=-10.5 std=194.92123413085938
mean=-0.00811767578125 std=2.5573554039001465
mean=-24.84375 std=1832.6700439453125
mean=-0.03125 std=33.172027587890625
mean=-795.0 std=nan
mean=-1.1875 std=43.35110855102539
レーティング測定
対局数=5000 同時対局数=64 ハッシュサイズ=384 開始手数=24 最大手数=320 開始局面ファイル=C:\Jenkins\workspace\TanukiColiseum.2023-04-16\TanukiColiseum\floodgate32-80.adjust_bishop_exchange.sfen NUMAノード数=1 表示更新間隔(ms)=3600000
思考エンジン1 思考エンジン2
name YaneuraOu NNUE 7.63 64ZEN2 TOURNAMENT YaneuraOu NNUE 7.63 64ZEN2 TOURNAMENT
author by yaneurao by yaneurao
exeファイル C:\Jenkins\workspace\TanukiColiseum.2023-04-16\engine1\source\YaneuraOu-by-gcc.exe C:\Jenkins\workspace\TanukiColiseum.2023-04-16\engine2\source\YaneuraOu-by-gcc.exe
評価関数フォルダパス D:\hnoda\shogi\eval\tanuki-.nnue-pytorch-2024-01-06 D:\hnoda\tanuki-wcsc32-2022-05-06\eval
定跡手数 256 256
定跡ファイル名 no_book no_book
思考ノード数 0 0
思考ノード数に加える乱数(%) 0 0
思考ノード数の乱数を1手毎に変化させる False False
持ち時間(ms) 300000 300000
秒読み時間(ms) 0 0
加算時間(ms) 2000 2000
乱数付き思考時間(ms) 0 0
スレッド数 1 1
BookEvalDiff 30 30
定跡の採択率を考慮する true true
定跡の手数を無視する true true
SlowMover 100 100
DrawValue -2 -2
BookEvalBlackLimit 0 0
BookEvalWhiteLimit -140 -140
FVScale 16 16
Depth=0 0
MinimumThinkingTime 1000 1000
対局数5000 先手勝ち2509(53.1%) 後手勝ち2214(46.9%) 引き分け277
engine1
勝ち1366(28.9% R-146.4 +-10.5) 先手勝ち746(15.8%) 後手勝ち620(13.1%)
宣言勝ち72 先手宣言勝ち44 後手宣言勝ち28 先手引き分け161 後手引き分け116
engine2
勝ち3357(71.1%) 先手勝ち1763(37.3%) 後手勝ち1594(33.7%)
宣言勝ち7 先手宣言勝ち2 後手宣言勝ち5 先手引き分け116 後手引き分け161
1366,277,3357
対局数=5000 同時対局数=64 ハッシュサイズ=384 開始手数=24 最大手数=320 開始局面ファイル=C:\Jenkins\workspace\TanukiColiseum.2023-04-16\TanukiColiseum\floodgate32-80.adjust_bishop_exchange.sfen NUMAノード数=1 表示更新間隔(ms)=3600000
思考エンジン1 思考エンジン2
name YaneuraOu NNUE 7.63 64ZEN2 TOURNAMENT YaneuraOu NNUE 7.63 64ZEN2 TOURNAMENT
author by yaneurao by yaneurao
exeファイル C:\Jenkins\workspace\TanukiColiseum.2023-04-16\engine1\source\YaneuraOu-by-gcc.exe C:\Jenkins\workspace\TanukiColiseum.2023-04-16\engine2\source\YaneuraOu-by-gcc.exe
評価関数フォルダパス D:\hnoda\shogi\eval\tanuki-.nnue-pytorch-2024-01-06 D:\hnoda\shogi\eval\tanuki-.nnue-pytorch-2023-12-18
定跡手数 256 256
定跡ファイル名 no_book no_book
思考ノード数 0 0
思考ノード数に加える乱数(%) 0 0
思考ノード数の乱数を1手毎に変化させる False False
持ち時間(ms) 300000 300000
秒読み時間(ms) 0 0
加算時間(ms) 2000 2000
乱数付き思考時間(ms) 0 0
スレッド数 1 1
BookEvalDiff 30 30
定跡の採択率を考慮する true true
定跡の手数を無視する true true
SlowMover 100 100
DrawValue -2 -2
BookEvalBlackLimit 0 0
BookEvalWhiteLimit -140 -140
FVScale 16 16
Depth=0 0
MinimumThinkingTime 1000 1000
対局数5000 先手勝ち2534(52.9%) 後手勝ち2253(47.1%) 引き分け213
engine1
勝ち1860(38.9% R-75.3 +-9.9) 先手勝ち1000(20.9%) 後手勝ち860(18.0%)
宣言勝ち22 先手宣言勝ち11 後手宣言勝ち11 先手引き分け108 後手引き分け105
engine2
勝ち2927(61.1%) 先手勝ち1534(32.0%) 後手勝ち1393(29.1%)
宣言勝ち50 先手宣言勝ち25 後手宣言勝ち25 先手引き分け105 後手引き分け108
1860,213,2927
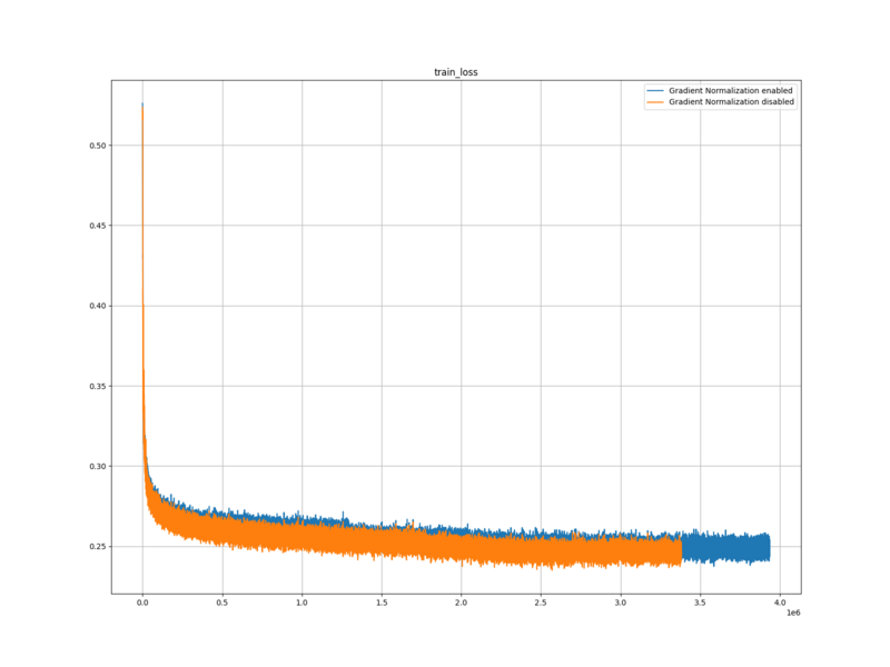
学習ロスと検証ロスは、勾配の正規化ありのほうが高かった。
学習ロスと検証ロスの乖離は、大きくはなかった。
学習率は、初めは勾配の正規化ありのほうが下がるのが早かった。
ネットワークパラメーターの重みは、平均値はほとんどの層で 0.0 付近だった。
レーティングは、 tanuki-wcsc32-2022-05-06 に比べて R146.4 低く、有意な差があった。また、勾配の正規化なしのものと比べて R75.3 低く、有意な差があった。
考察
学習ロスト検証ロスが、勾配の正規化ありのほうがたかった理由は分からなかった。今回の正規化は、インターネット上で調べた限り、広く用いられている方法ではなさそうだった。多くの人が試した結果、効果がないとされた方法なのかもしれない。
ネットワークパラメーターの重みの平均値が、ほとんどの層で 0.0 付近だった理由も分からなかった。
レーティングが勾配の正規化なしのものと比べて低かったのは、学習が十分に行えていないためだと思う。学習が十分に行えていない理由は分からなかった。
まとめ
nnue-pytorch を用い、 halfkp_1024x2-8-32 ネットワークを学習させた。 その際、勾配を平均 0 標準偏差 0 に正規化して学習させた。
レーティングは、 tanuki-wcsc32-2022-05-06 に比べて R146.4 低く、有意な差があった。また、勾配の正規化なしのものと比べて R75.3 低く、有意な差があった。 レーティングが勾配の正規化なしのものと比べて低かったのは、学習が十分に行えていないためだと思う。学習が十分に行えていない理由は分からなかった。
次回は、モーメンタムを有効にして学習させ、レーティングを測定したい。