nodchipのコンピューター将棋ブログ

コンピューター将棋ソフト「tanuki-」シリーズの実験結果を掲載しています。

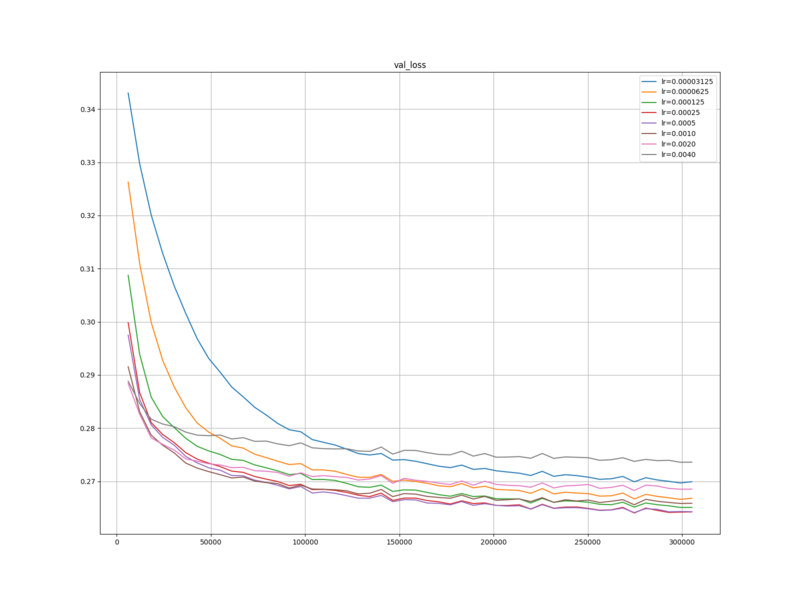
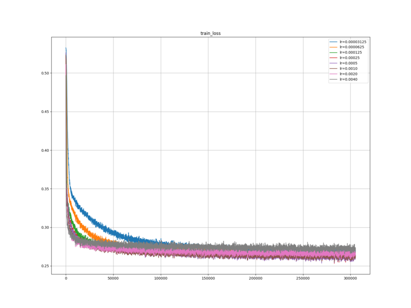
tanuki- 2022-07-13 nnue-pytorch 学習率調整 (2)

tanuki- 2022-07-13 nnue-pytorch 学習率調整 (2)

実験内容

  • nnue-pytorch を用いた学習で、学習率を 0.00025 に設定し、レーティングを測定する。

棋譜生成

生成ルーチン tanuki-棋譜生成ルーチン
評価関数 水匠5 FV_SCALE=16
1手あたりの思考 深さ最大 9 思考ノード数最大 50,000 ノード
開始局面 foodgate の 2020 年~ 2021 年の棋譜のうち、レーティング 3900 以上同士の対局の 32 手目までから 1 局面ランダムに選択し、その局面を開始局面とした ランダムムーブなし
生成局面数 10 億局面 × 8 セット
生成条件 対局は打ち切らず詰みの局面まで学習データに出力した

シャッフル条件

生成ルーチン tanuki-シャッフルルーチン
qsearch() あり
置換表 無効

機械学習

機械学習ルーチン nnue-pytorch + やねうら王 https://github.com/nodchip/nnue-pytorch/tree/shogi.2022-05-23
学習モデル halfkp_256x2-32-32
学習手法 SGD ミニバッチ法
初期学習率 (lr) 0.00025
最適化手法 Ranger
学習率調整手法 StepLR step=1 gamma=0.992
batch-size 16384
threads 2
num-workers 2
gpus 1
features HalfKP
max_epoch 50
scaling (kPonanzaConstant) 361
lambda 0.5
勝敗項の教師信号 1.0

レーティング測定

対局相手 tanuki- 2022-04-01 halfkp_256x2-32-32 再実験 https://docs.google.com/document/d/1U2dtYgksApn9GYIUJEUtceE0Yc-0dfmx6kA44FopDXc/edit
思考時間 持ち時間 300 秒 + 1 手 2 秒加算
対局数 5000
同時対局数 64
ハッシュサイズ 768
開始局面 たややん互換局面集

実験結果

機械学習

レーティング測定

対局数=5000 同時対局数=64 ハッシュサイズ=768 開始手数=24 最大手数=320 開始局面ファイル=C:\Jenkins\workspace\TanukiColiseum.2022-05-02\TanukiColiseum\taya36_2020-11-06.sfen NUMAノード数=2 表示更新間隔(ms)=3600000

思考エンジン1 name=YaneuraOu NNUE 7.10 64ZEN2 TOURNAMENT author=by yaneurao exeファイル=C:\Jenkins\workspace\TanukiColiseum.2022-05-02\engine1\source\YaneuraOu-by-gcc.exe 評価関数フォルダパス=D:\hnoda\shogi\eval\tanuki-.nnue-pytorch-2022-07-12 定跡手数=256 定跡ファイル名=no_book 思考ノード数=0 思考ノード数に加える乱数(%)=0 思考ノード数の乱数を1手毎に変化させる=False 持ち時間(ms)=300000 秒読み時間(ms)=0 加算時間(ms)=2000 乱数付き思考時間(ms)=0 スレッド数=1 BookEvalDiff=30 定跡の採択率を考慮する=false 定跡の手数を無視する=false SlowMover=100 DrawValue=-2 BookEvalBlackLimit=0 BookEvalWhiteLimit=-140 FVScale1=16

思考エンジン2 name=YaneuraOu NNUE 7.10 64ZEN2 TOURNAMENT author=by yaneurao exeファイル=C:\Jenkins\workspace\TanukiColiseum.2022-05-02\engine2\source\YaneuraOu-by-gcc.exe 評価関数フォルダパス=D:\hnoda\shogi\eval\suisho5.halfkp_256x2-32-32.80G\final 定跡手数=256 定跡ファイル名=no_book 思考ノード数=0 思考ノード数に加える乱数(%)=0 思考ノード数の乱数を1手毎に変化させる=False 持ち時間(ms)=300000 秒読み時間(ms)=0 加算時間(ms)=2000 乱数付き思考時間(ms)=0 スレッド数=1 BookEvalDiff=30 定跡の採択率を考慮する=false 定跡の手数を無視する=false SlowMover=100 DrawValue=-2 BookEvalBlackLimit=0 BookEvalWhiteLimit=-140 FVScale2=16

対局数5000 先手勝ち2328(52.6%) 後手勝ち2101(47.4%) 引き分け571

engine1

勝ち2043(46.1% R-23.9 +-9.7) 先手勝ち1071(24.2%) 後手勝ち972(21.9%)

宣言勝ち28 先手宣言勝ち19 後手宣言勝ち9 先手引き分け302 後手引き分け269

engine2

勝ち2386(53.9%) 先手勝ち1257(28.4%) 後手勝ち1129(25.5%)

宣言勝ち44 先手宣言勝ち26 後手宣言勝ち18 先手引き分け269 後手引き分け302

2043,571,2386

学習ロスと検証ロスは、 初期学習率が 0.000875 の場合に比べて下がった。

レーティングは、初期学習率が 0.000875 の場合と比較して、ほとんど差がなかった。

考察

学習ロスと検証ロスが下がっても、レーティングに大きな影響がない場合がある事が分かった。

まとめ

nnue-pytorch を用いた学習で、学習率を 0.00025 に設定し、レーティングを測定した。結果、学習ロスト検証ロスは下がったが、レーティングは上がらなかった。

tanuki- 2022-07-12 教師局面生成時の開始局面 (s-book_black)

tanuki- 2022-07-12 教師局面生成時の開始局面 (s-book_black)

実験内容

  • 教師局面の生成時、開始局面として s-book_black に収録されている局面を使用し、学習した評価関数のレーティングを計測する。

棋譜生成

生成ルーチン tanuki-棋譜生成ルーチン
評価関数 水匠 5 FV_SCALE=16
1手あたりの思考 深さ最大 9 思考ノード数最大 50,000 ノード
開始局面 1. foodgate の 2020 年~ 2021 年の棋譜のうち、レーティング 3900 以上同士の対局の 32 手目までから 1 局面ランダムに選択し、その局面を開始局面とした 2. s-book_black
開始局面後のランダムムーブ なし
生成局面数 1. 10 億局面 × 8 セット 2. 10 億局面 × 1 セット 1. と 2. を混ぜた
生成条件 対局は打ち切らず詰みの局面まで学習データに出力した

機械学習

機械学習ルーチン やねうら王機械学習ルーチン
学習モデル halfkp_256x2-32-32
学習手法 SGD ミニバッチ法
USI_Hash 1024
Threads 127
loop 100
batchsize 1000000
lambda 0.5
eta eta1=1e-8 eta2=0.1 eta1_epoch=100
newbob_decay 0.5
nn_batch_size 1000
eval_save_interval 100000000
loss_output_interval 1000000
mirror_percentage 50
eval_limit 32000
weight_by_progress 無効
次元下げ K・P・相対KP
学習データ内で重複した局面の除外 しない
初期ネットワークパラメーター tanuki-wcsc29
勝敗項の教師信号 1.0
やねうら王バージョン V5.33 相当

レーティング測定

対局相手 https://docs.google.com/document/d/1Lup-hHFH2_QWqEfe56obJ6OEwj15P-C0VO6pWV9-vgo/edit?usp=sharing やねうら王 V5.33 で作成した評価関数
思考時間 持ち時間 300 秒 + 1 手 2 秒加算
対局数 5000
同時対局数 64
ハッシュサイズ 768
開始局面 たややん互換局面集

実験結果

機械学習

v5.33 … https://docs.google.com/document/d/1Lup-hHFH2_QWqEfe56obJ6OEwj15P-C0VO6pWV9-vgo/edit?usp=sharing

v5.33.add … 今回作成した評価関数を学習した際の記録

レーティング測定

対局数=5000 同時対局数=64 ハッシュサイズ=768 開始手数=24 最大手数=320 開始局面ファイル=C:\Jenkins\workspace\TanukiColiseum.2022-05-02\TanukiColiseum\taya36_2020-11-06.sfen NUMAノード数=2 表示更新間隔(ms)=3600000

思考エンジン1 name=YaneuraOu NNUE 7.10 64ZEN2 TOURNAMENT author=by yaneurao exeファイル=C:\Jenkins\workspace\TanukiColiseum.2022-05-02\engine1\source\YaneuraOu-by-gcc.exe 評価関数フォルダパス=D:\hnoda\shogi\eval\regression.v5.33.add.s-book_black\final 定跡手数=256 定跡ファイル名=no_book 思考ノード数=0 思考ノード数に加える乱数(%)=0 思考ノード数の乱数を1手毎に変化させる=False 持ち時間(ms)=300000 秒読み時間(ms)=0 加算時間(ms)=2000 乱数付き思考時間(ms)=0 スレッド数=1 BookEvalDiff=30 定跡の採択率を考慮する=false 定跡の手数を無視する=false SlowMover=100 DrawValue=-2 BookEvalBlackLimit=0 BookEvalWhiteLimit=-140 FVScale1=20

思考エンジン2 name=YaneuraOu NNUE 7.10 64ZEN2 TOURNAMENT author=by yaneurao exeファイル=C:\Jenkins\workspace\TanukiColiseum.2022-05-02\engine2\source\YaneuraOu-by-gcc.exe 評価関数フォルダパス=D:\hnoda\shogi\eval\regression.v5.33\final 定跡手数=256 定跡ファイル名=no_book 思考ノード数=0 思考ノード数に加える乱数(%)=0 思考ノード数の乱数を1手毎に変化させる=False 持ち時間(ms)=300000 秒読み時間(ms)=0 加算時間(ms)=2000 乱数付き思考時間(ms)=0 スレッド数=1 BookEvalDiff=30 定跡の採択率を考慮する=false 定跡の手数を無視する=false SlowMover=100 DrawValue=-2 BookEvalBlackLimit=0 BookEvalWhiteLimit=-140 FVScale2=20

対局数5000 先手勝ち2328(53.5%) 後手勝ち2024(46.5%) 引き分け648

engine1

勝ち1395(32.1% R-112.3 +-10.1) 先手勝ち766(17.6%) 後手勝ち629(14.5%)

宣言勝ち84 先手宣言勝ち43 後手宣言勝ち41 先手引き分け338 後手引き分け310

engine2

勝ち2957(67.9%) 先手勝ち1562(35.9%) 後手勝ち1395(32.1%)

宣言勝ち85 先手宣言勝ち37 後手宣言勝ち48 先手引き分け310 後手引き分け338

1395,648,2957

学習ロスと検証ロスは、元の評価関数に比べて、大きかった。

平手局面の評価値は、元の評価関数に比べて、ほとんど変わらなかった。

評価値の絶対値は、元の評価関数と比べて、小さかった。

レーティングは、ベースラインとした評価関数と比べて、 R-112.3 程度低かった。

考察

学習ロスと検証ロスについては、ロスの定義が交差エントロピーであることを考えると、 s-book_black の各局面を開始局面にした教師局面を加えたことによって、評価値的に互角に近い局面が増えたのだと思われる。

平手局面の評価値については、学習に大きな問題が発生しなかったという事を表しているものと思われる。

評価値の絶対値については、教師局面に、評価値的に互角に近い局面が増えたのだと思われる。これは、学習ロスと検証ロスの考察結果と矛盾はない。

レーティングについては、いくつか原因が考えられる。一つは、 s-book_black に収録されている局面に、過学習してしまっている可能性である。これにより、たややん互換局面集を用いた対局で、レーティングが下がってしまった可能性がある。もう一つは、学習器の問題である。この実験の前後に、やねうら王学習器に対して、いくつかの変更を施した。これが意図せず revert されず、レーティングの低下を引き起こしている可能性がある。

まとめ

教師局面の生成時、開始局面として s-book_black に収録されている局面を使用し、学習した評価関数のレーティングを計測した。結果、ベースラインとした評価関数と比べて、 R-112.3 程度低かった。

やねうら王に加えた変更が、レーティングの低下を引き起こしていないかどうか、追試を行いたい。

tanuki- 2022-07-10 nnue-pytorch 学習率調整

tanuki- 2022-07-10 nnue-pytorch 学習率調整

実験内容

  • nnue-pytorch を用いた学習で、いくつかの学習率を試し、最もロスが下がる学習率を求める。

棋譜生成

生成ルーチン tanuki-棋譜生成ルーチン
評価関数 水匠5 FV_SCALE=16
1手あたりの思考 深さ最大 9 思考ノード数最大 50,000 ノード
開始局面 foodgate の 2020 年~ 2021 年の棋譜のうち、レーティング 3900 以上同士の対局の 32 手目までから 1 局面ランダムに選択し、その局面を開始局面とした ランダムムーブなし
生成局面数 10 億局面 × 8 セット
生成条件 対局は打ち切らず詰みの局面まで学習データに出力した

シャッフル条件

生成ルーチン tanuki-シャッフルルーチン
qsearch() あり
置換表 無効

機械学習

機械学習ルーチン nnue-pytorch + やねうら王 https://github.com/nodchip/nnue-pytorch/tree/shogi.2022-05-23
学習モデル halfkp_256x2-32-32
学習手法 SGD ミニバッチ法
最適化手法 Ranger
学習率調整手法 StepLR step=1 gamma=0.992
batch-size 16384
threads 2
num-workers 2
gpus 1
features HalfKP
max_epoch 50
scaling (kPonanzaConstant) 361
lambda 0.5
勝敗項の教師信号 1.0

実験結果

機械学習

学習ロスと検証ロスは、 0.00025 および 0.0005 のときに、最も下がった。学習率が高いと、学習の序盤は大きく学習が下がるが、その後ロスが下がりにくくなった。学習率を下げると、後半でロスが下がりやすくなる場合があるが、下げすぎると、ロスが下がりにくくなった。

考察

学習ロスと検証ロスについては、 nnue-pytorch デフォルトの 0.000875 は高すぎる可能性がある。

まとめ

nnue-pytorch を用いた学習で、 nnue-pytorch を用いた学習で、いくつかの学習率を試し、最もロスが下がる学習率を求めた。

結果、 0.00025 と 0.0005 の時に、学習ロスト検証ロスが、最も下がった。

次回は、学習率 0.00025 で学習を行い、レーティングを測定したい。

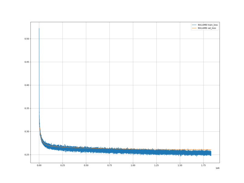
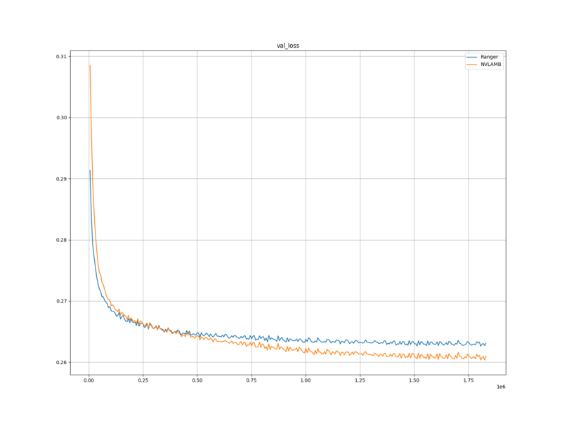
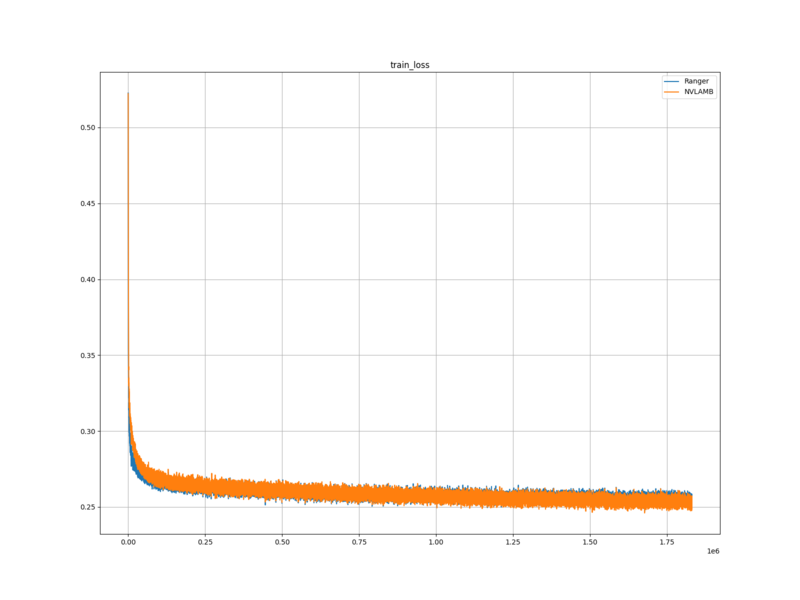
tanuki- 2022-07-08 nnue-pytorch NVLAMB

tanuki- 2022-07-08 nnue-pytorch NVLAMB

実験内容

  • nnue-pytorch を用いた学習で、 Optimizer を NVLAMB に変更して学習させた場合の、レーティングの変化を調べる。

棋譜生成

生成ルーチン tanuki-棋譜生成ルーチン
評価関数 水匠5 FV_SCALE=16
1手あたりの思考 深さ最大 9 思考ノード数最大 50,000 ノード
開始局面 foodgate の 2020 年~ 2021 年の棋譜のうち、レーティング 3900 以上同士の対局の 32 手目までから 1 局面ランダムに選択し、その局面を開始局面とした ランダムムーブなし
生成局面数 10 億局面 × 8 セット
生成条件 対局は打ち切らず詰みの局面まで学習データに出力した

シャッフル条件

生成ルーチン tanuki-シャッフルルーチン
qsearch() あり
置換表 無効

機械学習

機械学習ルーチン nnue-pytorch + やねうら王 https://github.com/nodchip/nnue-pytorch/tree/shogi.2022-05-23
学習モデル halfkp_256x2-32-32
学習手法 SGD ミニバッチ法
最適化手法 NVLAMB
学習率調整手法 StepLR step=1 gamma=0.992
batch-size 16384
threads 2
num-workers 2
gpus 1
features HalfKP
max_epoch 300
scaling (kPonanzaConstant) 361
lambda 0.5
勝敗項の教師信号 1.0

レーティング測定

対局相手 tanuki- 2022-04-01 halfkp_256x2-32-32 再実験 https://docs.google.com/document/d/1U2dtYgksApn9GYIUJEUtceE0Yc-0dfmx6kA44FopDXc/edit
思考時間 持ち時間 300 秒 + 1 手 2 秒加算
対局数 5000
同時対局数 64
ハッシュサイズ 768
開始局面 たややん互換局面集

実験結果

機械学習

レーティング測定

対局数=5000 同時対局数=64 ハッシュサイズ=768 開始手数=24 最大手数=320 開始局面ファイル=C:\Jenkins\workspace\TanukiColiseum.2022-05-02\TanukiColiseum\taya36_2020-11-06.sfen NUMAノード数=2 表示更新間隔(ms)=3600000

思考エンジン1 name=YaneuraOu NNUE 7.10 64ZEN2 TOURNAMENT author=by yaneurao exeファイル=C:\Jenkins\workspace\TanukiColiseum.2022-05-02\engine1\source\YaneuraOu-by-gcc.exe 評価関数フォルダパス=D:\hnoda\shogi\eval\tanuki-.nnue-pytorch-2022-07-06 定跡手数=256 定跡ファイル名=no_book 思考ノード数=0 思考ノード数に加える乱数(%)=0 思考ノード数の乱数を1手毎に変化させる=False 持ち時間(ms)=300000 秒読み時間(ms)=0 加算時間(ms)=2000 乱数付き思考時間(ms)=0 スレッド数=1 BookEvalDiff=30 定跡の採択率を考慮する=false 定跡の手数を無視する=false SlowMover=100 DrawValue=-2 BookEvalBlackLimit=0 BookEvalWhiteLimit=-140 FVScale1=16

思考エンジン2 name=YaneuraOu NNUE 7.10 64ZEN2 TOURNAMENT author=by yaneurao exeファイル=C:\Jenkins\workspace\TanukiColiseum.2022-05-02\engine2\source\YaneuraOu-by-gcc.exe 評価関数フォルダパス=D:\hnoda\shogi\eval\suisho5.halfkp_256x2-32-32.80G\final 定跡手数=256 定跡ファイル名=no_book 思考ノード数=0 思考ノード数に加える乱数(%)=0 思考ノード数の乱数を1手毎に変化させる=False 持ち時間(ms)=300000 秒読み時間(ms)=0 加算時間(ms)=2000 乱数付き思考時間(ms)=0 スレッド数=1 BookEvalDiff=30 定跡の採択率を考慮する=false 定跡の手数を無視する=false SlowMover=100 DrawValue=-2 BookEvalBlackLimit=0 BookEvalWhiteLimit=-140 FVScale2=16

対局数5000 先手勝ち2357(52.1%) 後手勝ち2163(47.9%) 引き分け480

engine1

勝ち1973(43.7% R-40.1 +-9.7) 先手勝ち1033(22.9%) 後手勝ち940(20.8%)

宣言勝ち83 先手宣言勝ち46 後手宣言勝ち37 先手引き分け244 後手引き分け236

engine2

勝ち2547(56.3%) 先手勝ち1324(29.3%) 後手勝ち1223(27.1%)

宣言勝ち43 先手宣言勝ち24 後手宣言勝ち19 先手引き分け236 後手引き分け244

1973,480,2547

学習ロスと検証ロスは、 Ranger を使用した場合と比べ、学習し始めの頃は高かったが、最終的には低くなった。

レーティングは、比較対象の評価関数と比べて、 R-40.1 低かった。 これは Ranger と比べ、 R-17.1 程度低かった。

考察

学習ロスと検証ロスについては、 Ranger に比べて NVLAMB のほうが、今回の学習条件においては適していると考えられる。

レーティングについては、ロスが下がればレーティングが下がるというわけでは必ずしもないという事を表していると考えられる。

まとめ

nnue-pytorch を用いた学習で、 Optimizer を NVLAMB に変更して学習させた場合の、レーティングの変化を調べた。結果、 Ranger に比べてレーティングが伸びなかった。

今後、学習データの生成方法の見直し等を進めていきたいと思う。

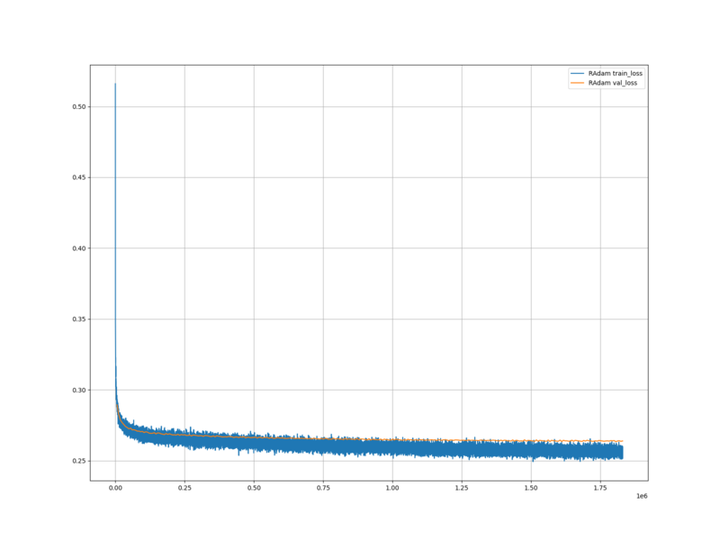
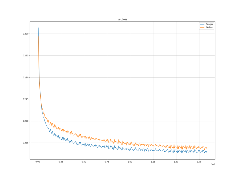
tanuki- 2022-07-04 nnue-pytorch RAdam

tanuki- 2022-07-04 nnue-pytorch RAdam

実験内容

  • nnue-pytorch を用いた学習で、 Optimizer を RAdam に変更して学習させた場合の、レーティングの変化を調べる。

棋譜生成

生成ルーチン tanuki-棋譜生成ルーチン
評価関数 水匠5 FV_SCALE=16
1手あたりの思考 深さ最大 9 思考ノード数最大 50,000 ノード
開始局面 foodgate の 2020 年~ 2021 年の棋譜のうち、レーティング 3900 以上同士の対局の 32 手目までから 1 局面ランダムに選択し、その局面を開始局面とした ランダムムーブなし
生成局面数 10 億局面 × 8 セット
生成条件 対局は打ち切らず詰みの局面まで学習データに出力した

シャッフル条件

生成ルーチン tanuki-シャッフルルーチン
qsearch() あり
置換表 無効

機械学習

機械学習ルーチン nnue-pytorch + やねうら王 https://github.com/nodchip/nnue-pytorch/tree/shogi.2022-05-23
学習モデル halfkp_256x2-32-32
学習手法 SGD ミニバッチ法
最適化手法 RAdam
学習率調整手法 StepLR step=1 gamma=0.992
batch-size 16384
threads 2
num-workers 2
gpus 1
features HalfKP
max_epoch 300
scaling (kPonanzaConstant) 361
lambda 0.5
勝敗項の教師信号 1.0

レーティング測定

対局相手 tanuki- 2022-04-01 halfkp_256x2-32-32 再実験 https://docs.google.com/document/d/1U2dtYgksApn9GYIUJEUtceE0Yc-0dfmx6kA44FopDXc/edit
思考時間 持ち時間 300 秒 + 1 手 2 秒加算
対局数 5000
同時対局数 64
ハッシュサイズ 768
開始局面 たややん互換局面集

実験結果

機械学習

レーティング測定

対局数=5000 同時対局数=64 ハッシュサイズ=768 開始手数=24 最大手数=320 開始局面ファイル=C:\Jenkins\workspace\TanukiColiseum.2022-05-02\TanukiColiseum\taya36_2020-11-06.sfen NUMAノード数=2 表示更新間隔(ms)=3600000

思考エンジン1 name=YaneuraOu NNUE 7.10 64ZEN2 TOURNAMENT author=by yaneurao exeファイル=C:\Jenkins\workspace\TanukiColiseum.2022-05-02\engine1\source\YaneuraOu-by-gcc.exe 評価関数フォルダパス=D:\hnoda\shogi\eval\tanuki-.nnue-pytorch-2022-07-02 定跡手数=256 定跡ファイル名=no_book 思考ノード数=0 思考ノード数に加える乱数(%)=0 思考ノード数の乱数を1手毎に変化させる=False 持ち時間(ms)=300000 秒読み時間(ms)=0 加算時間(ms)=2000 乱数付き思考時間(ms)=0 スレッド数=1 BookEvalDiff=30 定跡の採択率を考慮する=false 定跡の手数を無視する=false SlowMover=100 DrawValue=-2 BookEvalBlackLimit=0 BookEvalWhiteLimit=-140 FVScale1=16

思考エンジン2 name=YaneuraOu NNUE 7.10 64ZEN2 TOURNAMENT author=by yaneurao exeファイル=C:\Jenkins\workspace\TanukiColiseum.2022-05-02\engine2\source\YaneuraOu-by-gcc.exe 評価関数フォルダパス=D:\hnoda\shogi\eval\suisho5.halfkp_256x2-32-32.80G\final 定跡手数=256 定跡ファイル名=no_book 思考ノード数=0 思考ノード数に加える乱数(%)=0 思考ノード数の乱数を1手毎に変化させる=False 持ち時間(ms)=300000 秒読み時間(ms)=0 加算時間(ms)=2000 乱数付き思考時間(ms)=0 スレッド数=1 BookEvalDiff=30 定跡の採択率を考慮する=false 定跡の手数を無視する=false SlowMover=100 DrawValue=-2 BookEvalBlackLimit=0 BookEvalWhiteLimit=-140 FVScale2=16

対局数5000 先手勝ち2390(54.3%) 後手勝ち2009(45.7%) 引き分け601

engine1

勝ち1802(41.0% R-55.7 +-9.8) 先手勝ち995(22.6%) 後手勝ち807(18.3%)

宣言勝ち18 先手宣言勝ち9 後手宣言勝ち9 先手引き分け303 後手引き分け298

engine2

勝ち2597(59.0%) 先手勝ち1395(31.7%) 後手勝ち1202(27.3%)

宣言勝ち91 先手宣言勝ち48 後手宣言勝ち43 先手引き分け298 後手引き分け303

1802,601,2597

学習ロスと検証ロスは、 Ranger を使用した場合と比べて、大きかった。また、学習ロスと検証ロスの差が大きかった。

レーティングは、比較対象の評価関数と比べて、 R-55.7 低かった。 これは Ranger と比べ、 R-32.7程度低かった。

考察

学習ロスと検証ロスについては、今回の学習パラメーターでは、 Ranger に比べて学習がうまく行えていないという事を表していると思われる。学習率等の調整で改善する可能性はある。しかし、学習率等の調整を行うのであれば、 Ranger を使って行うのが妥当だと思われる。

また、学習ロスト検証ロスの差が大きい点については、学習データに過学習していることを表している。

レーティングについては、ロスが Ranger ほど下がらなかったことと過学習により、 Ranger 程伸びなかったのだと思われる。

まとめ

nnue-pytorch を用いた学習で、 Optimizer を RAdam に変更して学習させた場合の、レーティングの変化を調べた。結果、 Ranger に比べてレーティングが伸びなかった。

今後、学習率等の学習パラメーターの調整を行いたいと思う。

tanuki- 2022-07-03 強化学習

tanuki- 2022-07-03 強化学習

実験内容

  • 「tanuki- 2022-06-07 やねうら王学習部リグレッション調査」で作成した評価関数が思いのほか強かったので、そこからの強化学習を行い、レーティングの変化を測定する。
  • 棋譜生成

    生成ルーチン tanuki-棋譜生成ルーチン
    評価関数 https://docs.google.com/document/d/1Lup-hHFH2_QWqEfe56obJ6OEwj15P-C0VO6pWV9-vgo/edit?usp=sharing やねうら王 V5.33 で作成した評価関数 FV_SCALE=16
    1手あたりの思考 深さ最大 9 思考ノード数最大 50,000 ノード
    開始局面 foodgate の 2020 年~ 2021 年の棋譜のうち、レーティング 3900 以上同士の対局の 32 手目までから 1 局面ランダムに選択し、その局面を開始局面とした ランダムムーブなし
    生成局面数 10 億局面 × 8 セット
    生成条件 対局は打ち切らず詰みの局面まで学習データに出力した

    機械学習

    機械学習ルーチン やねうら王機械学習ルーチン
    学習モデル halfkp_256x2-32-32
    学習手法 SGD ミニバッチ法
    USI_Hash 1024
    Threads 127
    loop 100
    batchsize 1000000
    lambda 0.5
    eta eta1=1e-8 eta2=0.1 eta1_epoch=100 (eta2 を 1.0 に設定したところ、まったくロスが下がらなかった)
    newbob_decay 0.5
    nn_batch_size 1000
    eval_save_interval 100000000
    loss_output_interval 1000000
    mirror_percentage 50
    eval_limit 32000
    weight_by_progress 無効
    次元下げ K・P・相対KP
    学習データ内で重複した局面の除外 しない
    初期ネットワークパラメーター https://docs.google.com/document/d/1Lup-hHFH2_QWqEfe56obJ6OEwj15P-C0VO6pWV9-vgo/edit?usp=sharing やねうら王 V5.33 で作成した評価関数
    勝敗項の教師信号 1.0
    やねうら王バージョン V5.33 相当

    レーティング測定

    対局相手 https://docs.google.com/document/d/1Lup-hHFH2_QWqEfe56obJ6OEwj15P-C0VO6pWV9-vgo/edit?usp=sharing やねうら王 V5.33 で作成した評価関数
    思考時間 持ち時間 300 秒 + 1 手 2 秒加算
    対局数 5000
    同時対局数 64
    ハッシュサイズ 768
    開始局面 たややん互換局面集

    実験結果

    機械学習

    v5.33 … 学習データの生成に使用した評価関数を学習した際の記録

    v5.33.iteration=2 … 今回作成した評価関数を学習した際の記録

    レーティング測定

    対局数=5000 同時対局数=64 ハッシュサイズ=768 開始手数=24 最大手数=320 開始局面ファイル=C:\Jenkins\workspace\TanukiColiseum.2022-05-02\TanukiColiseum\taya36_2020-11-06.sfen NUMAノード数=2 表示更新間隔(ms)=3600000

    思考エンジン1 name=YaneuraOu NNUE 7.10 64ZEN2 TOURNAMENT author=by yaneurao exeファイル=C:\Jenkins\workspace\TanukiColiseum.2022-05-02\engine1\source\YaneuraOu-by-gcc.exe 評価関数フォルダパス=D:\hnoda\shogi\eval\regression.v5.33.iteration=2\final 定跡手数=256 定跡ファイル名=no_book 思考ノード数=0 思考ノード数に加える乱数(%)=0 思考ノード数の乱数を1手毎に変化させる=False 持ち時間(ms)=300000 秒読み時間(ms)=0 加算時間(ms)=2000 乱数付き思考時間(ms)=0 スレッド数=1 BookEvalDiff=30 定跡の採択率を考慮する=false 定跡の手数を無視する=false SlowMover=100 DrawValue=-2 BookEvalBlackLimit=0 BookEvalWhiteLimit=-140 FVScale1=20

    思考エンジン2 name=YaneuraOu NNUE 7.10 64ZEN2 TOURNAMENT author=by yaneurao exeファイル=C:\Jenkins\workspace\TanukiColiseum.2022-05-02\engine2\source\YaneuraOu-by-gcc.exe 評価関数フォルダパス=D:\hnoda\shogi\eval\regression.v5.33\final 定跡手数=256 定跡ファイル名=no_book 思考ノード数=0 思考ノード数に加える乱数(%)=0 思考ノード数の乱数を1手毎に変化させる=False 持ち時間(ms)=300000 秒読み時間(ms)=0 加算時間(ms)=2000 乱数付き思考時間(ms)=0 スレッド数=1 BookEvalDiff=30 定跡の採択率を考慮する=false 定跡の手数を無視する=false SlowMover=100 DrawValue=-2 BookEvalBlackLimit=0 BookEvalWhiteLimit=-140 FVScale2=20

    対局数5000 先手勝ち2178(53.1%) 後手勝ち1922(46.9%) 引き分け900

    engine1

    勝ち1994(48.6% R-7.8 +-9.6) 先手勝ち1070(26.1%) 後手勝ち924(22.5%)

    宣言勝ち199 先手宣言勝ち107 後手宣言勝ち92 先手引き分け431 後手引き分け469

    engine2

    勝ち2106(51.4%) 先手勝ち1108(27.0%) 後手勝ち998(24.3%)

    宣言勝ち94 先手宣言勝ち47 後手宣言勝ち47 先手引き分け469 後手引き分け431

    1994,900,2106

    学習ロスと検証ロスは、元の評価関数に比べて、大きかった。また、元の評価関数に比べて、下がり幅が小さかった。

    平手局面の評価値は、元の評価関数に比べて、ほとんど変わらなかった。

    評価値の絶対値は、元の評価関数と比べて、やや小さかった。

    レーティングは、元の評価関数と比べて R-7.8 低かったが、有意差はなかった。

    考察

    学習ロスと検証ロスが、元の評価関数と異なっている点については、学習データが異なるため、自然なことだと考える。

    また、元の評価関数より大きかった点については、今回の学習データと、評価関数の出力との相互エントロピーが大きいという事であるので、評価関数が学習データから学習できた部分が少ないという事なのだと思われる。おそらく halfkp_256x2-32-32 の表現能力の限界に到達してしてしまっているのだと思われる。

    平手局面の評価値については、学習に大きな問題が発生しなかったという事を表しているものと思われる。

    評価値の絶対値については、今回使用した学習データのほうが、評価値の絶対値が小さい局面の割合が大きいという事なのだと思われる。

    レーティングについては、学習ロスと検証ロスと同様、 halfkp_256x2-32-32 の表現能力の限界に到達してしまっているのだと思われる。現在の表現能力のままレーティングを上げるためには、ネットワークパラメーターを、将棋の勝敗に直結する局面に対する解像度を上げる方向に割り当てる必要があると思われる。このためには、学習データに、そのような局面、および周辺の局面を多く含められるような、学習データ生成手法・パラメーターが必要だと思われる。

    まとめ

    「tanuki- 2022-06-07 やねうら王学習部リグレッション調査」で作成した評価関数が思いのほか強かったので、そこからの強化学習を行い、レーティングの変化を測定した。

    結果、レーティングは向上しなかった。学習データ生成手法・パラメーターの改善が必要だと思われる。

tanuki- 2022-07-02 FV_SCALE 調整

tanuki- 2022-07-02 FV_SCALE 調整

実験内容

  • 水匠 5 を用いて生成した学習データを用いて学習した評価関数で、 FV_SCALE の値を変化させたときの、レーティングの変化を調べる。
    • 水匠 5 が、 FV_SCALE を変化させることでレーティングが変化するのであれば、それを用いて学習させた評価関数も、同様のことが起こるのではないかと予想した。

    棋譜生成

    生成ルーチン tanuki-棋譜生成ルーチン
    評価関数 水匠5 FV_SCALE=16
    1手あたりの思考 深さ最大 9 思考ノード数最大 50,000 ノード
    開始局面 foodgate の 2020 年~ 2021 年の棋譜のうち、レーティング 3900 以上同士の対局の 32 手目までから 1 局面ランダムに選択し、その局面を開始局面とした ランダムムーブなし
    生成局面数 10 億局面 × 8 セット
    生成条件 対局は打ち切らず詰みの局面まで学習データに出力した

    機械学習

    機械学習ルーチン やねうら王機械学習ルーチン
    学習モデル halfkp_256x2-32-32
    学習手法 SGD ミニバッチ法
    USI_Hash 1024
    Threads 64
    loop 100
    batchsize 1000000
    lambda 0.5
    eta eta1=1e-8 eta2=1.0 eta1_epoch=100
    newbob_decay 0.5
    nn_batch_size 1000
    eval_save_interval 100000000
    loss_output_interval 1000000
    mirror_percentage 50
    eval_limit 32000
    weight_by_progress 無効
    次元下げ K・P・相対KP
    学習データ内で重複した局面の除外 バージョンのデフォルトに依存する
    初期ネットワークパラメーター tanuki-wcsc29
    勝敗項の教師信号 1.0
    やねうら王バージョン V5.33

    レーティング測定

    対局相手 tanuki-wcsc32-2022-05-06
    思考時間 持ち時間 300 秒 + 1 手 2 秒加算
    対局数 2000
    同時対局数 64
    ハッシュサイズ 768
    開始局面 たややん互換局面集

    実験結果

    機械学習

    https://docs.google.com/document/d/1Lup-hHFH2_QWqEfe56obJ6OEwj15P-C0VO6pWV9-vgo/edit?usp=sharing

    に掲載されているものと同じ。

    レーティング測定

    対局数=2000 同時対局数=64 ハッシュサイズ=640 開始手数=24 最大手数=320 開始局面ファイル=C:\Jenkins\workspace\TanukiColiseum.2022-05-02\TanukiColiseum\taya36_2020-11-06.sfen NUMAノード数=2 表示更新間隔(ms)=3600000

    思考エンジン1 name=YaneuraOu NNUE 7.10 64ZEN2 TOURNAMENT author=by yaneurao exeファイル=C:\Jenkins\workspace\TanukiColiseum.2022-05-02\engine1\source\YaneuraOu-by-gcc.exe 評価

    関数フォルダパス=D:\hnoda\shogi\eval\regression.v5.33\final 定跡手数=256 定跡ファイル名=no_book 思考ノード数=0 思考ノード数に加える乱数(%)=0 思考ノード数の乱数を1手毎に変化させ

    る=False 持ち時間(ms)=300000 秒読み時間(ms)=0 加算時間(ms)=2000 乱数付き思考時間(ms)=0 スレッド数=1 BookEvalDiff=30 定跡の採択率を考慮する=false 定跡の手数を無視する=false SlowMover=100 DrawValue=-2 BookEvalBlackLimit=0 BookEvalWhiteLimit=-140 FVScale1=16

    思考エンジン2 name=YaneuraOu NNUE 7.10 64ZEN2 TOURNAMENT author=by yaneurao exeファイル=C:\Jenkins\workspace\TanukiColiseum.2022-05-02\engine2\source\YaneuraOu-by-gcc.exe 評価

    関数フォルダパス=D:\hnoda\tanuki-wcsc32-2022-05-06\eval 定跡手数=256 定跡ファイル名=no_book 思考ノード数=0 思考ノード数に加える乱数(%)=0 思考ノード数の乱数を1手毎に変化させる=False 持ち時間(ms)=300000 秒読み時間(ms)=0 加算時間(ms)=2000 乱数付き思考時間(ms)=0 スレッド数=1 BookEvalDiff=30 定跡の採択率を考慮する=false 定跡の手数を無視する=false SlowMover=100 DrawValue=-2 BookEvalBlackLimit=0 BookEvalWhiteLimit=-140 FVScale2=16

    対局数2000 先手勝ち906(50.7%) 後手勝ち881(49.3%) 引き分け213

    engine1

    勝ち923(51.7% R10.3 +-15.2) 先手勝ち470(26.3%) 後手勝ち453(25.3%)

    宣言勝ち43 先手宣言勝ち24 後手宣言勝ち19 先手引き分け103 後手引き分け110

    engine2

    勝ち864(48.3%) 先手勝ち436(24.4%) 後手勝ち428(24.0%)

    宣言勝ち2 先手宣言勝ち0 後手宣言勝ち2 先手引き分け110 後手引き分け103

    923,213,864

    対局数=2000 同時対局数=64 ハッシュサイズ=640 開始手数=24 最大手数=320 開始局面ファイル=C:\Jenkins\workspace\TanukiColiseum.2022-05-02\TanukiColiseum\taya36_2020-11-06.sfen NUMAノード数=2 表示更新間隔(ms)=3600000

    思考エンジン1 name=YaneuraOu NNUE 7.10 64ZEN2 TOURNAMENT author=by yaneurao exeファイル=C:\Jenkins\workspace\TanukiColiseum.2022-05-02\engine1\source\YaneuraOu-by-gcc.exe 評価

    関数フォルダパス=D:\hnoda\shogi\eval\regression.v5.33\final 定跡手数=256 定跡ファイル名=no_book 思考ノード数=0 思考ノード数に加える乱数(%)=0 思考ノード数の乱数を1手毎に変化させ

    る=False 持ち時間(ms)=300000 秒読み時間(ms)=0 加算時間(ms)=2000 乱数付き思考時間(ms)=0 スレッド数=1 BookEvalDiff=30 定跡の採択率を考慮する=false 定跡の手数を無視する=false SlowMover=100 DrawValue=-2 BookEvalBlackLimit=0 BookEvalWhiteLimit=-140 FVScale1=20

    思考エンジン2 name=YaneuraOu NNUE 7.10 64ZEN2 TOURNAMENT author=by yaneurao exeファイル=C:\Jenkins\workspace\TanukiColiseum.2022-05-02\engine2\source\YaneuraOu-by-gcc.exe 評価

    関数フォルダパス=D:\hnoda\tanuki-wcsc32-2022-05-06\eval 定跡手数=256 定跡ファイル名=no_book 思考ノード数=0 思考ノード数に加える乱数(%)=0 思考ノード数の乱数を1手毎に変化させる=False 持ち時間(ms)=300000 秒読み時間(ms)=0 加算時間(ms)=2000 乱数付き思考時間(ms)=0 スレッド数=1 BookEvalDiff=30 定跡の採択率を考慮する=false 定跡の手数を無視する=false SlowMover=100 DrawValue=-2 BookEvalBlackLimit=0 BookEvalWhiteLimit=-140 FVScale2=16

    対局数2000 先手勝ち908(51.7%) 後手勝ち849(48.3%) 引き分け243

    engine1

    勝ち932(53.0% R18.6 +-15.3) 先手勝ち481(27.4%) 後手勝ち451(25.7%)

    宣言勝ち53 先手宣言勝ち27 後手宣言勝ち26 先手引き分け121 後手引き分け122

    engine2

    勝ち825(47.0%) 先手勝ち427(24.3%) 後手勝ち398(22.7%)

    宣言勝ち1 先手宣言勝ち1 後手宣言勝ち0 先手引き分け122 後手引き分け121

    932,243,825

    対局数=2000 同時対局数=64 ハッシュサイズ=640 開始手数=24 最大手数=320 開始局面ファイル=C:\Jenkins\workspace\TanukiColiseum.2022-05-02\TanukiColiseum\taya36_2020-11-06.sfen NUMAノード数=2 表示更新間隔(ms)=3600000

    思考エンジン1 name=YaneuraOu NNUE 7.10 64ZEN2 TOURNAMENT author=by yaneurao exeファイル=C:\Jenkins\workspace\TanukiColiseum.2022-05-02\engine1\source\YaneuraOu-by-gcc.exe 評価

    関数フォルダパス=D:\hnoda\shogi\eval\regression.v5.33\final 定跡手数=256 定跡ファイル名=no_book 思考ノード数=0 思考ノード数に加える乱数(%)=0 思考ノード数の乱数を1手毎に変化させ

    る=False 持ち時間(ms)=300000 秒読み時間(ms)=0 加算時間(ms)=2000 乱数付き思考時間(ms)=0 スレッド数=1 BookEvalDiff=30 定跡の採択率を考慮する=false 定跡の手数を無視する=false SlowMover=100 DrawValue=-2 BookEvalBlackLimit=0 BookEvalWhiteLimit=-140 FVScale1=24

    思考エンジン2 name=YaneuraOu NNUE 7.10 64ZEN2 TOURNAMENT author=by yaneurao exeファイル=C:\Jenkins\workspace\TanukiColiseum.2022-05-02\engine2\source\YaneuraOu-by-gcc.exe 評価

    関数フォルダパス=D:\hnoda\tanuki-wcsc32-2022-05-06\eval 定跡手数=256 定跡ファイル名=no_book 思考ノード数=0 思考ノード数に加える乱数(%)=0 思考ノード数の乱数を1手毎に変化させる=False 持ち時間(ms)=300000 秒読み時間(ms)=0 加算時間(ms)=2000 乱数付き思考時間(ms)=0 スレッド数=1 BookEvalDiff=30 定跡の採択率を考慮する=false 定跡の手数を無視する=false SlowMover=100 DrawValue=-2 BookEvalBlackLimit=0 BookEvalWhiteLimit=-140 FVScale2=16

    対局数2000 先手勝ち885(51.3%) 後手勝ち840(48.7%) 引き分け275

    engine1

    勝ち855(49.6% R-2.6 +-15.2) 先手勝ち435(25.2%) 後手勝ち420(24.3%)

    宣言勝ち43 先手宣言勝ち29 後手宣言勝ち14 先手引き分け140 後手引き分け135

    engine2

    勝ち870(50.4%) 先手勝ち450(26.1%) 後手勝ち420(24.3%)

    宣言勝ち2 先手宣言勝ち1 後手宣言勝ち1 先手引き分け135 後手引き分け140

    855,275,870

    対局数=2000 同時対局数=64 ハッシュサイズ=640 開始手数=24 最大手数=320 開始局面ファイル=C:\Jenkins\workspace\TanukiColiseum.2022-05-02\TanukiColiseum\taya36_2020-11-06.sfen NUMAノード数=2 表示更新間隔(ms)=3600000

    思考エンジン1 name=YaneuraOu NNUE 7.10 64ZEN2 TOURNAMENT author=by yaneurao exeファイル=C:\Jenkins\workspace\TanukiColiseum.2022-05-02\engine1\source\YaneuraOu-by-gcc.exe 評価

    関数フォルダパス=D:\hnoda\shogi\eval\regression.v5.33\final 定跡手数=256 定跡ファイル名=no_book 思考ノード数=0 思考ノード数に加える乱数(%)=0 思考ノード数の乱数を1手毎に変化させ

    る=False 持ち時間(ms)=300000 秒読み時間(ms)=0 加算時間(ms)=2000 乱数付き思考時間(ms)=0 スレッド数=1 BookEvalDiff=30 定跡の採択率を考慮する=false 定跡の手数を無視する=false SlowMover=100 DrawValue=-2 BookEvalBlackLimit=0 BookEvalWhiteLimit=-140 FVScale1=28

    思考エンジン2 name=YaneuraOu NNUE 7.10 64ZEN2 TOURNAMENT author=by yaneurao exeファイル=C:\Jenkins\workspace\TanukiColiseum.2022-05-02\engine2\source\YaneuraOu-by-gcc.exe 評価

    関数フォルダパス=D:\hnoda\tanuki-wcsc32-2022-05-06\eval 定跡手数=256 定跡ファイル名=no_book 思考ノード数=0 思考ノード数に加える乱数(%)=0 思考ノード数の乱数を1手毎に変化させる=False 持ち時間(ms)=300000 秒読み時間(ms)=0 加算時間(ms)=2000 乱数付き思考時間(ms)=0 スレッド数=1 BookEvalDiff=30 定跡の採択率を考慮する=false 定跡の手数を無視する=false SlowMover=100 DrawValue=-2 BookEvalBlackLimit=0 BookEvalWhiteLimit=-140 FVScale2=16

    対局数2000 先手勝ち938(54.0%) 後手勝ち799(46.0%) 引き分け263

    engine1

    勝ち803(46.2% R-22.8 +-15.3) 先手勝ち427(24.6%) 後手勝ち376(21.6%)

    宣言勝ち42 先手宣言勝ち22 後手宣言勝ち20 先手引き分け149 後手引き分け114

    engine2

    勝ち934(53.8%) 先手勝ち511(29.4%) 後手勝ち423(24.4%)

    宣言勝ち4 先手宣言勝ち1 後手宣言勝ち3 先手引き分け114 後手引き分け149

    803,263,934

    対局数=2000 同時対局数=64 ハッシュサイズ=640 開始手数=24 最大手数=320 開始局面ファイル=C:\Jenkins\workspace\TanukiColiseum.2022-05-02\TanukiColiseum\taya36_2020-11-06.sfen NUMAノード数=2 表示更新間隔(ms)=3600000

    思考エンジン1 name=YaneuraOu NNUE 7.10 64ZEN2 TOURNAMENT author=by yaneurao exeファイル=C:\Jenkins\workspace\TanukiColiseum.2022-05-02\engine1\source\YaneuraOu-by-gcc.exe 評価

    関数フォルダパス=D:\hnoda\shogi\eval\regression.v5.33\final 定跡手数=256 定跡ファイル名=no_book 思考ノード数=0 思考ノード数に加える乱数(%)=0 思考ノード数の乱数を1手毎に変化させ

    る=False 持ち時間(ms)=300000 秒読み時間(ms)=0 加算時間(ms)=2000 乱数付き思考時間(ms)=0 スレッド数=1 BookEvalDiff=30 定跡の採択率を考慮する=false 定跡の手数を無視する=false SlowMover=100 DrawValue=-2 BookEvalBlackLimit=0 BookEvalWhiteLimit=-140 FVScale1=32

    思考エンジン2 name=YaneuraOu NNUE 7.10 64ZEN2 TOURNAMENT author=by yaneurao exeファイル=C:\Jenkins\workspace\TanukiColiseum.2022-05-02\engine2\source\YaneuraOu-by-gcc.exe 評価

    関数フォルダパス=D:\hnoda\tanuki-wcsc32-2022-05-06\eval 定跡手数=256 定跡ファイル名=no_book 思考ノード数=0 思考ノード数に加える乱数(%)=0 思考ノード数の乱数を1手毎に変化させる=False 持ち時間(ms)=300000 秒読み時間(ms)=0 加算時間(ms)=2000 乱数付き思考時間(ms)=0 スレッド数=1 BookEvalDiff=30 定跡の採択率を考慮する=false 定跡の手数を無視する=false SlowMover=100 DrawValue=-2 BookEvalBlackLimit=0 BookEvalWhiteLimit=-140 FVScale2=16

    対局数2000 先手勝ち954(54.2%) 後手勝ち807(45.8%) 引き分け239

    engine1

    勝ち808(45.9% R-25.2 +-15.3) 先手勝ち434(24.6%) 後手勝ち374(21.2%)

    宣言勝ち47 先手宣言勝ち19 後手宣言勝ち28 先手引き分け132 後手引き分け107

    engine2

    勝ち953(54.1%) 先手勝ち520(29.5%) 後手勝ち433(24.6%)

    宣言勝ち2 先手宣言勝ち2 後手宣言勝ち0 先手引き分け107 後手引き分け132

    808,239,953

    FV_SCALE=20 のときに、最もレーティングが高くなった。また、 FV_SCALE=20 から離れるほど、レーティングは下がっていった。

    考察

    水匠 5 同様、水匠 5 の学習データを元に学習させた評価関数も、 FV_SCALE を調整する事により、レーティングを伸ばすことができるのだと思われる。ただし、教師信号の勝敗項の勝率を調整した場合、評価値のスケールが変化するため、この限りではない可能性がある。

    まとめ

    水匠 5 を用いて生成した学習データを用いて学習した評価関数で、 FV_SCALE の値を変化させたときの、レーティングの変化を調べた。結果、今回実験に使用した評価関数については、 FV_SCALE=20 のときに、最もレーティングが高くなった。今後評価関数を大会で使用する際は、直前に、最適な FV_SCALE の値を調べたい。