tanuki- 2024-05-02 halfkp_1024x2-8-64 Fine-tuning
実験内容
- halfkp_1024x2-8-64 ネットワークを学習させ、レーティングを測定する。
- ランダムパラメーターからの学習には、 Hao を用いて生成した学習データを用いる。
- Fine-tuning に Suisho10Mn_psv を学習データとして用いる。
棋譜生成
ランダムパラメーターから学習させる際の学習データ
| 生成ルーチン | tanuki-棋譜生成ルーチン |
| 評価関数 | Hao (tanuki-.halfkp_256x2-32-32.2023-05-08) |
| 1手あたりの思考 | 深さ最大 9 思考ノード数最大 50,000 ノード |
| 開始局面 | foodgate の 2020 年~ 2021 年の棋譜を使用した。レーティング 3900 以上同士の対局のみ使用した。戦型が角換わりの対局が 10% になるよう調整した。 32 手目までから 1 局面ランダムに選択し、その局面を開始局面とした。ランダムムーブはしなかった。 |
| 生成局面数 | 10 億局面 × 8 セット |
| 生成条件 | 対局は打ち切らず詰みの局面まで学習データに出力した |
| フォルダ名 | tanuki-.halfkp_256x2-32-32.2023-05-08 |
シャッフル条件
ランダムパラメータから学習させる際の学習データ
| 生成ルーチン | tanuki-シャッフルルーチン |
| qsearch() | あり |
| 置換表 | 無効 |
| min_progress | 0.0 |
Fine-tuning に用いる学習データ
| 生成ルーチン | tanuki-シャッフルルーチン |
| qsearch() | あり |
| 置換表 | 無効 |
| min_progress | 0.1 |
機械学習
| 機械学習ルーチン | nnue-pytorch + やねうら王 https://github.com/nodchip/nnue-pytorch/tree/shogi.2024-04-20.halfkp_1024x2-8-64 |
| 学習モデル | halfkp_1024x2-8-64 |
| 学習手法 | ミニバッチ SGD |
| 初期学習率 (lr) | 0.5 収束後 0.05 |
| 最適化手法 | なし |
| 学習率調整手法 | Warmup + Newbob 風 |
| batch-size | 16384 |
| threads | 8 |
| num-workers | 8 |
| accelerator | gpu |
| devices | 1 |
| features | HalfKP |
| max-epoch | 1000000 |
| score-scaling | 361 |
| lambda | 1.0 収束後 0.5 |
| 勝敗項の教師信号 | 0.999 |
| num-batches-warmup | 10000 |
| newbob-decay | 0.5 |
| epoch-size | 1000000 |
| num-epochs-to-adjust-lr | 500 |
| 学習を打ち切る下限 newbob scale | 1e-5 |
| 1 epoch 毎のネットワークパラメーターのクリップ | あり |
| ネットワークパラメーターの量子化 | 量子化なしで学習し、収束後に量子化する。 |
| ネットワークパラメーターの初期化方法 | pytorch のデフォルトの初期化手法で初期化する。 |
| 勾配の正規化 | なし |
| momentum | 0.9 |
| 入玉ボーナス | 入玉時、持ち駒および敵陣三段目までに侵入している駒について、小駒 1 枚につき 20 点、大駒 1 枚につき 100 点、敵陣三段目までに侵入している駒 1 枚につき 20 点追加する。 |
レーティング測定
| 対局相手 | https://docs.google.com/document/d/1FC3FvCxyJV6IRPfwOHOMcAlEoTsjmRY8JZpWkGVpgH8/edit?usp=sharing tanuki-.nnue-pytorch-2024-03-24.1000 |
| 思考時間 | 持ち時間 300 秒 + 1 手 2 秒加算 |
| 対局数 | 5000 |
| 同時対局数 | 64 |
| ハッシュサイズ | 384 |
| 開始局面 | dlshogi 互角局面集の角換わりの割合が 10% になるよう間引いたもの |
実験結果
機械学習
ランダムパラメーターからの学習

検証ロス
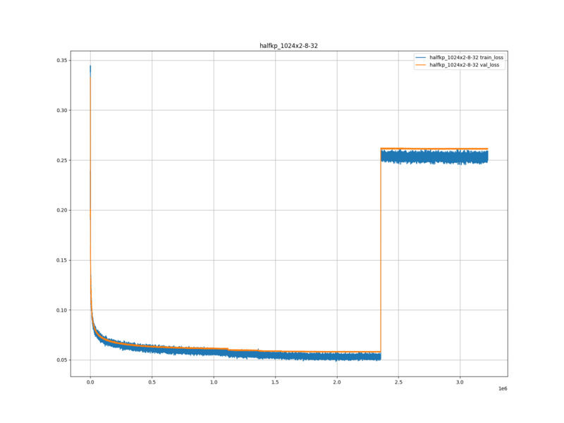
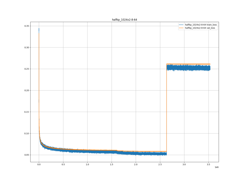
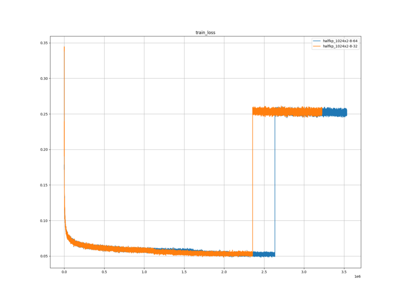
halfkp_1024x2-8-64 … 0.2610738826874763
halfkp_1024x2-8-32 … 0.2612318373649352
Fine-tuning

ネットワークパラメーターの分布

mean=-30.4775390625 std=26.578081130981445

mean=-0.00859669130295515 std=3.798966407775879

mean=5599.75 std=1670.2501220703125

mean=-0.4246826171875 std=5.293008327484131

mean=-2664.390625 std=8623.640625

mean=0.38671875 std=40.71420669555664

mean=-1204.0 std=nan

mean=4.8125 std=47.580467224121094
ベンチマーク
halfkp_1024x2-8-64
Total time (ms) : 60004
Nodes searched : 61009382
Nodes_searched/second : 1016755
halfkp_1024x2-8-32
Total time (ms) : 60017
Nodes searched : 62024216
Nodes_searched/second : 1033444
レーティング測定
対局数=5000 同時対局数=64 ハッシュサイズ=384 開始手数=24 最大手数=320 開始局面ファイル=C:\Jenkins\workspace\TanukiColiseum.2023-04-16\TanukiColiseum\bishop_exchange.2023-06-25.sfen NUMAノード数=1 表示更新間隔(ms)=3600000
思考エンジン1 思考エンジン2
name YaneuraOu NNUE 7.63 64ZEN2 TOURNAMENT YaneuraOu NNUE 7.63 64ZEN2 TOURNAMENT
author by yaneurao by yaneurao
exeファイル C:\Jenkins\workspace\TanukiColiseum.2023-04-16\engine1\source\YaneuraOu-by-gcc.exe C:\Jenkins\workspace\TanukiColiseum.2023-04-16\engine2\source\YaneuraOu-by-gcc.exe
評価関数フォルダパス D:\hnoda\shogi\eval\tanuki-.nnue-pytorch-2024-04-30 D:\hnoda\shogi\eval\tanuki-.nnue-pytorch-2024-04-26
定跡手数 256 256
定跡ファイル名 no_book no_book
思考ノード数 0 0
思考ノード数に加える乱数(%) 0 0
思考ノード数の乱数を1手毎に変化させる False False
持ち時間(ms) 300000 300000
秒読み時間(ms) 0 0
加算時間(ms) 2000 2000
乱数付き思考時間(ms) 0 0
スレッド数 1 1
BookEvalDiff 30 30
定跡の採択率を考慮する false false
定跡の手数を無視する false false
SlowMover 100 100
DrawValue -2 -2
BookEvalBlackLimit 0 0
BookEvalWhiteLimit -140 -140
FVScale 16 16
Depth=0 0
MinimumThinkingTime 1000 1000
対局数5000 先手勝ち1763(52.8%) 後手勝ち1578(47.2%) 引き分け1659
engine1
勝ち1597(47.8% R-10.2 +-9.6) 先手勝ち831(24.9%) 後手勝ち766(22.9%)
宣言勝ち95 先手宣言勝ち48 後手宣言勝ち47 先手引き分け856 後手引き分け803
engine2
勝ち1744(52.2%) 先手勝ち932(27.9%) 後手勝ち812(24.3%)
宣言勝ち82 先手宣言勝ち41 後手宣言勝ち41 先手引き分け803 後手引き分け856
1597,1659,1744
学習ロスと検証ロスは、halfkp_1024x2-8-32 より低くなった。
ベンチマークは halfkp_1024x2-8-32 に比べて 5% 程度遅かった。
自己対局は tanuki-.nnue-pytorch-2024-04-26 に対し、レーティングが R10.2 低く、有意な差があった。
考察
学習ロスと検証ロスが halfkp_1024x2-8-32 より低かった理由は、隠れ層第 3 層のチャンネル数が増え、表現力が増したためだと思う。
ベンチマークが halfkp_1024x2-8-32 に比べて遅かった理由は、隠れ層第 3 層のチャンネル数が増え、演算回数が増えたためだと思う。
自己対局でレーティングが tanuki-.nnue-pytorch-2024-04-26 より低かった理由は、学習データに対する過学習だと思う。ネットワークによっては、 Suisho10Mn_psv で Fine-tuning しないほうが強い場合があるということだと思う。
まとめ
halfkp_1024x2-8-64 ネットワークを学習させ、レーティングを測定した。ランダムパラメーターからの学習には、 Hao を用いて生成した学習データを用いた。Fine-tuning に Suisho10Mn_psv を学習データとして用いた。
自己対局は tanuki-.nnue-pytorch-2024-04-26 に対し、レーティングが R10.2 低く、有意な差があった。自己対局でレーティングが tanuki-.nnue-pytorch-2024-04-26 より低かった理由は、学習データに対する過学習だと思う。ネットワークによっては、 Suisho10Mn_psv で Fine-tuning しないほうが強い場合があるということだと思う。
次回は halfkp_1024x2-8-96 ネットワークを学習させ、レーティングを測定したい。