nodchipのコンピューター将棋ブログ

コンピューター将棋ソフト「tanuki-」シリーズの実験結果を掲載しています。

tanuki- 2022-12-14 Fine Tuning halfkp_1024x2-8-32

tanuki- 2022-12-14 Fine Tuning halfkp_1024x2-8-32

実験内容

  • 高ノード数の探索を用いて教師データを生成し、 halfkp_1024x2-8-32 評価関数を Fine Tuning し、レーティングを測定する。

棋譜生成

生成ルーチン tanuki-棋譜生成ルーチン
評価関数 水匠 5 FV_SCALE=16
1手あたりの思考 深さ最大 64 思考ノード数最大 2,000,000 ノード
開始局面 foodgate の 2020 年~ 2021 年の棋譜のうち、レーティング 3900 以上同士の対局の、 32 手目までから、 1 局面ランダムに選択し、その局面を開始局面とした
開始局面後のランダムムーブ なし
生成局面数 5 百万局面 × 19 セット
生成条件 対局は打ち切らず詰みの局面まで教師局面に出力した

棋譜シャッフル

シャッフルルーチン tanuki-棋譜シャッフルルーチン
qsearch あり

機械学習

機械学習ルーチン やねうら王機械学習ルーチン
学習モデル halfkp_1024x2-8-32
学習手法 SGD ミニバッチ法
USI_Hash 1024
Threads 16
loop 100
batchsize 1000000
lambda 0.0
eta eta1=1e-8 eta2=0.01~0.01*0.5^10.0 eta1_epoch=100
newbob_decay 0.5
nn_batch_size 1000
eval_save_interval 100000000
loss_output_interval 1000000
mirror_percentage 50
eval_limit 32000
weight_by_progress 無効
次元下げ K・P・相対KP
教師局面内で重複した局面の除外 しない
初期ネットワークパラメーター tanuki-wcsc32 https://docs.google.com/document/d/1IjK1PpT_-lGZen28ACWNrKsjk-BVnS4riDAR2oPZHDk/edit
勝敗項の教師信号 0.99
やねうら王バージョン V5.33 相当

レーティング測定

対局相手 tanuki-wcsc32 https://docs.google.com/document/d/1IjK1PpT_-lGZen28ACWNrKsjk-BVnS4riDAR2oPZHDk/edit
思考時間 持ち時間 300 秒 + 1 手 2 秒加算
対局数 2000
同時対局数 64
ハッシュサイズ 512
開始局面 たややん互換局面集

実験結果

機械学習

レーティング測定

対局数=2000 同時対局数=64 ハッシュサイズ=512 開始手数=24 最大手数=320 開始局面ファイル=C:\Jenkins\workspace\TanukiColiseum.2022-05-02\TanukiColiseum\taya36_2020-11-06.sfen NUMAノード数=1 表示

更新間隔(ms)=3600000

思考エンジン1 name=YaneuraOu NNUE 7.10 64ZEN2 TOURNAMENT author=by yaneurao exeファイル=C:\Jenkins\workspace\TanukiColiseum.2022-05-02\engine1\source\YaneuraOu-by-gcc.exe 評価関数フォルダパス

=D:\hnoda\shogi\eval\halfkp_1024x2-8-32.add.nodes=2M.eta2=0.01\final 定跡手数=256 定跡ファイル名=no_book 思考ノード数=0 思考ノード数に加える乱数(%)=0 思考ノード数の乱数を1手毎に変化させる=False 持ち時間(ms)=300000 秒読み時間(ms)=0 加算時間(ms)=2000 乱数付き思考時間(ms)=0 スレッド数=1 BookEvalDiff=30 定跡の採択率を考慮する=false 定跡の手数を無視する=false SlowMover=100 DrawValue=-2 BookEvalBlackLimit=0 BookEvalWhiteLimit=-140 FVScale1=16

思考エンジン2 name=YaneuraOu NNUE 7.10 64ZEN2 TOURNAMENT author=by yaneurao exeファイル=C:\Jenkins\workspace\TanukiColiseum.2022-05-02\engine2\source\YaneuraOu-by-gcc.exe 評価関数フォルダパス

=D:\hnoda\shogi\eval\halfkp_1024x2-8-32\final 定跡手数=256 定跡ファイル名=no_book 思考ノード数=0 思考ノード数に加える乱数(%)=0 思考ノード数の乱数を1手毎に変化させる=False 持ち時間(ms)=300000

秒読み時間(ms)=0 加算時間(ms)=2000 乱数付き思考時間(ms)=0 スレッド数=1 BookEvalDiff=30 定跡の採択率を考慮する=false 定跡の手数を無視する=false SlowMover=100 DrawValue=-2 BookEvalBlackLimit=0

BookEvalWhiteLimit=-140 FVScale2=16

対局数2000 先手勝ち909(52.0%) 後手勝ち840(48.0%) 引き分け251

engine1

勝ち587(33.6% R-102.8 +-15.9) 先手勝ち302(17.3%) 後手勝ち285(16.3%)

宣言勝ち47 先手宣言勝ち22 後手宣言勝ち25 先手引き分け147 後手引き分け104

engine2

勝ち1162(66.4%) 先手勝ち607(34.7%) 後手勝ち555(31.7%)

宣言勝ち10 先手宣言勝ち6 後手宣言勝ち4 先手引き分け104 後手引き分け147

587,251,1162

対局数=2000 同時対局数=64 ハッシュサイズ=512 開始手数=24 最大手数=320 開始局面ファイル=C:\Jenkins\workspace\TanukiColiseum.2022-05-02\TanukiColiseum\taya36_2020-11-06.sfen NUMAノード数=1 表示

更新間隔(ms)=3600000

思考エンジン1 name=YaneuraOu NNUE 7.10 64ZEN2 TOURNAMENT author=by yaneurao exeファイル=C:\Jenkins\workspace\TanukiColiseum.2022-05-02\engine1\source\YaneuraOu-by-gcc.exe 評価関数フォルダパス

=D:\hnoda\shogi\eval\halfkp_1024x2-8-32.add.nodes=2M.eta2=0.005\final 定跡手数=256 定跡ファイル名=no_book 思考ノード数=0 思考ノード数に加える乱数(%)=0 思考ノード数の乱数を1手毎に変化させる=False 持ち時間(ms)=300000 秒読み時間(ms)=0 加算時間(ms)=2000 乱数付き思考時間(ms)=0 スレッド数=1 BookEvalDiff=30 定跡の採択率を考慮する=false 定跡の手数を無視する=false SlowMover=100 DrawValue=-2 BookEvalBlackLimit=0 BookEvalWhiteLimit=-140 FVScale1=16

思考エンジン2 name=YaneuraOu NNUE 7.10 64ZEN2 TOURNAMENT author=by yaneurao exeファイル=C:\Jenkins\workspace\TanukiColiseum.2022-05-02\engine2\source\YaneuraOu-by-gcc.exe 評価関数フォルダパス

=D:\hnoda\shogi\eval\halfkp_1024x2-8-32\final 定跡手数=256 定跡ファイル名=no_book 思考ノード数=0 思考ノード数に加える乱数(%)=0 思考ノード数の乱数を1手毎に変化させる=False 持ち時間(ms)=300000

秒読み時間(ms)=0 加算時間(ms)=2000 乱数付き思考時間(ms)=0 スレッド数=1 BookEvalDiff=30 定跡の採択率を考慮する=false 定跡の手数を無視する=false SlowMover=100 DrawValue=-2 BookEvalBlackLimit=0

BookEvalWhiteLimit=-140 FVScale2=16

対局数2000 先手勝ち902(50.8%) 後手勝ち874(49.2%) 引き分け224

engine1

勝ち558(31.4% R-119.1 +-16.1) 先手勝ち285(16.0%) 後手勝ち273(15.4%)

宣言勝ち55 先手宣言勝ち25 後手宣言勝ち30 先手引き分け114 後手引き分け110

engine2

勝ち1218(68.6%) 先手勝ち617(34.7%) 後手勝ち601(33.8%)

宣言勝ち21 先手宣言勝ち11 後手宣言勝ち10 先手引き分け110 後手引き分け114

558,224,1218

対局数=2000 同時対局数=64 ハッシュサイズ=512 開始手数=24 最大手数=320 開始局面ファイル=C:\Jenkins\workspace\TanukiColiseum.2022-05-02\TanukiColiseum\taya36_2020-11-06.sfen NUMAノード数=1 表示

更新間隔(ms)=3600000

思考エンジン1 name=YaneuraOu NNUE 7.10 64ZEN2 TOURNAMENT author=by yaneurao exeファイル=C:\Jenkins\workspace\TanukiColiseum.2022-05-02\engine1\source\YaneuraOu-by-gcc.exe 評価関数フォルダパス

=D:\hnoda\shogi\eval\halfkp_1024x2-8-32.add.nodes=2M.eta2=0.0025\final 定跡手数=256 定跡ファイル名=no_book 思考ノード数=0 思考ノード数に加える乱数(%)=0 思考ノード数の乱数を1手毎に変化させる=False 持ち時間(ms)=300000 秒読み時間(ms)=0 加算時間(ms)=2000 乱数付き思考時間(ms)=0 スレッド数=1 BookEvalDiff=30 定跡の採択率を考慮する=false 定跡の手数を無視する=false SlowMover=100 DrawValue=-2 BookEvalBlackLimit=0 BookEvalWhiteLimit=-140 FVScale1=16

思考エンジン2 name=YaneuraOu NNUE 7.10 64ZEN2 TOURNAMENT author=by yaneurao exeファイル=C:\Jenkins\workspace\TanukiColiseum.2022-05-02\engine2\source\YaneuraOu-by-gcc.exe 評価関数フォルダパス

=D:\hnoda\shogi\eval\halfkp_1024x2-8-32\final 定跡手数=256 定跡ファイル名=no_book 思考ノード数=0 思考ノード数に加える乱数(%)=0 思考ノード数の乱数を1手毎に変化させる=False 持ち時間(ms)=300000

秒読み時間(ms)=0 加算時間(ms)=2000 乱数付き思考時間(ms)=0 スレッド数=1 BookEvalDiff=30 定跡の採択率を考慮する=false 定跡の手数を無視する=false SlowMover=100 DrawValue=-2 BookEvalBlackLimit=0

BookEvalWhiteLimit=-140 FVScale2=16

対局数2000 先手勝ち922(53.4%) 後手勝ち803(46.6%) 引き分け275

engine1

勝ち574(33.3% R-103.2 +-15.9) 先手勝ち313(18.1%) 後手勝ち261(15.1%)

宣言勝ち61 先手宣言勝ち35 後手宣言勝ち26 先手引き分け144 後手引き分け131

engine2

勝ち1151(66.7%) 先手勝ち609(35.3%) 後手勝ち542(31.4%)

宣言勝ち11 先手宣言勝ち4 後手宣言勝ち7 先手引き分け131 後手引き分け144

574,275,1151

対局数=2000 同時対局数=64 ハッシュサイズ=512 開始手数=24 最大手数=320 開始局面ファイル=C:\Jenkins\workspace\TanukiColiseum.2022-05-02\TanukiColiseum\taya36_2020-11-06.sfen NUMAノード数=1 表示

更新間隔(ms)=3600000

思考エンジン1 name=YaneuraOu NNUE 7.10 64ZEN2 TOURNAMENT author=by yaneurao exeファイル=C:\Jenkins\workspace\TanukiColiseum.2022-05-02\engine1\source\YaneuraOu-by-gcc.exe 評価関数フォルダパス

=D:\hnoda\shogi\eval\halfkp_1024x2-8-32.add.nodes=2M.eta2=0.00125\final 定跡手数=256 定跡ファイル名=no_book 思考ノード数=0 思考ノード数に加える乱数(%)=0 思考ノード数の乱数を1手毎に変化させる=False 持ち時間(ms)=300000 秒読み時間(ms)=0 加算時間(ms)=2000 乱数付き思考時間(ms)=0 スレッド数=1 BookEvalDiff=30 定跡の採択率を考慮する=false 定跡の手数を無視する=false SlowMover=100 DrawValue=-2 BookEvalBlackLimit=0 BookEvalWhiteLimit=-140 FVScale1=16

思考エンジン2 name=YaneuraOu NNUE 7.10 64ZEN2 TOURNAMENT author=by yaneurao exeファイル=C:\Jenkins\workspace\TanukiColiseum.2022-05-02\engine2\source\YaneuraOu-by-gcc.exe 評価関数フォルダパス

=D:\hnoda\shogi\eval\halfkp_1024x2-8-32\final 定跡手数=256 定跡ファイル名=no_book 思考ノード数=0 思考ノード数に加える乱数(%)=0 思考ノード数の乱数を1手毎に変化させる=False 持ち時間(ms)=300000

秒読み時間(ms)=0 加算時間(ms)=2000 乱数付き思考時間(ms)=0 スレッド数=1 BookEvalDiff=30 定跡の採択率を考慮する=false 定跡の手数を無視する=false SlowMover=100 DrawValue=-2 BookEvalBlackLimit=0

BookEvalWhiteLimit=-140 FVScale2=16

対局数2000 先手勝ち938(53.9%) 後手勝ち803(46.1%) 引き分け259

engine1

勝ち664(38.1% R-72.8 +-15.6) 先手勝ち355(20.4%) 後手勝ち309(17.7%)

宣言勝ち70 先手宣言勝ち35 後手宣言勝ち35 先手引き分け149 後手引き分け110

engine2

勝ち1077(61.9%) 先手勝ち583(33.5%) 後手勝ち494(28.4%)

宣言勝ち8 先手宣言勝ち5 後手宣言勝ち3 先手引き分け110 後手引き分け149

664,259,1077

対局数=2000 同時対局数=64 ハッシュサイズ=512 開始手数=24 最大手数=320 開始局面ファイル=C:\Jenkins\workspace\TanukiColiseum.2022-05-02\TanukiColiseum\taya36_2020-11-06.sfen NUMAノード数=1 表示

更新間隔(ms)=3600000

思考エンジン1 name=YaneuraOu NNUE 7.10 64ZEN2 TOURNAMENT author=by yaneurao exeファイル=C:\Jenkins\workspace\TanukiColiseum.2022-05-02\engine1\source\YaneuraOu-by-gcc.exe 評価関数フォルダパス

=D:\hnoda\shogi\eval\halfkp_1024x2-8-32.add.nodes=2M.eta2=0.000625\final 定跡手数=256 定跡ファイル名=no_book 思考ノード数=0 思考ノード数に加える乱数(%)=0 思考ノード数の乱数を1手毎に変化させる

=False 持ち時間(ms)=300000 秒読み時間(ms)=0 加算時間(ms)=2000 乱数付き思考時間(ms)=0 スレッド数=1 BookEvalDiff=30 定跡の採択率を考慮する=false 定跡の手数を無視する=false SlowMover=100 DrawValue=-2 BookEvalBlackLimit=0 BookEvalWhiteLimit=-140 FVScale1=16

思考エンジン2 name=YaneuraOu NNUE 7.10 64ZEN2 TOURNAMENT author=by yaneurao exeファイル=C:\Jenkins\workspace\TanukiColiseum.2022-05-02\engine2\source\YaneuraOu-by-gcc.exe 評価関数フォルダパス

=D:\hnoda\shogi\eval\halfkp_1024x2-8-32\final 定跡手数=256 定跡ファイル名=no_book 思考ノード数=0 思考ノード数に加える乱数(%)=0 思考ノード数の乱数を1手毎に変化させる=False 持ち時間(ms)=300000

秒読み時間(ms)=0 加算時間(ms)=2000 乱数付き思考時間(ms)=0 スレッド数=1 BookEvalDiff=30 定跡の採択率を考慮する=false 定跡の手数を無視する=false SlowMover=100 DrawValue=-2 BookEvalBlackLimit=0

BookEvalWhiteLimit=-140 FVScale2=16

対局数2000 先手勝ち952(53.7%) 後手勝ち820(46.3%) 引き分け228

engine1

勝ち657(37.1% R-81.0 +-15.6) 先手勝ち354(20.0%) 後手勝ち303(17.1%)

宣言勝ち61 先手宣言勝ち31 後手宣言勝ち30 先手引き分け132 後手引き分け96

engine2

勝ち1115(62.9%) 先手勝ち598(33.7%) 後手勝ち517(29.2%)

宣言勝ち9 先手宣言勝ち3 後手宣言勝ち6 先手引き分け96 後手引き分け132

657,228,1115

対局数=2000 同時対局数=64 ハッシュサイズ=512 開始手数=24 最大手数=320 開始局面ファイル=C:\Jenkins\workspace\TanukiColiseum.2022-05-02\TanukiColiseum\taya36_2020-11-06.sfen NUMAノード数=1 表示

更新間隔(ms)=3600000

思考エンジン1 name=YaneuraOu NNUE 7.10 64ZEN2 TOURNAMENT author=by yaneurao exeファイル=C:\Jenkins\workspace\TanukiColiseum.2022-05-02\engine1\source\YaneuraOu-by-gcc.exe 評価関数フォルダパス

=D:\hnoda\shogi\eval\halfkp_1024x2-8-32.add.nodes=2M.eta2=0.0003125\final 定跡手数=256 定跡ファイル名=no_book 思考ノード数=0 思考ノード数に加える乱数(%)=0 思考ノード数の乱数を1手毎に変化させ

る=False 持ち時間(ms)=300000 秒読み時間(ms)=0 加算時間(ms)=2000 乱数付き思考時間(ms)=0 スレッド数=1 BookEvalDiff=30 定跡の採択率を考慮する=false 定跡の手数を無視する=false SlowMover=100 DrawValue=-2 BookEvalBlackLimit=0 BookEvalWhiteLimit=-140 FVScale1=16

思考エンジン2 name=YaneuraOu NNUE 7.10 64ZEN2 TOURNAMENT author=by yaneurao exeファイル=C:\Jenkins\workspace\TanukiColiseum.2022-05-02\engine2\source\YaneuraOu-by-gcc.exe 評価関数フォルダパス

=D:\hnoda\shogi\eval\halfkp_1024x2-8-32\final 定跡手数=256 定跡ファイル名=no_book 思考ノード数=0 思考ノード数に加える乱数(%)=0 思考ノード数の乱数を1手毎に変化させる=False 持ち時間(ms)=300000

秒読み時間(ms)=0 加算時間(ms)=2000 乱数付き思考時間(ms)=0 スレッド数=1 BookEvalDiff=30 定跡の採択率を考慮する=false 定跡の手数を無視する=false SlowMover=100 DrawValue=-2 BookEvalBlackLimit=0

BookEvalWhiteLimit=-140 FVScale2=16

対局数2000 先手勝ち878(52.3%) 後手勝ち802(47.7%) 引き分け320

engine1

勝ち659(39.2% R-63.6 +-15.5) 先手勝ち344(20.5%) 後手勝ち315(18.8%)

宣言勝ち86 先手宣言勝ち40 後手宣言勝ち46 先手引き分け168 後手引き分け152

engine2

勝ち1021(60.8%) 先手勝ち534(31.8%) 後手勝ち487(29.0%)

宣言勝ち14 先手宣言勝ち9 後手宣言勝ち5 先手引き分け152 後手引き分け168

659,320,1021

対局数=2000 同時対局数=64 ハッシュサイズ=512 開始手数=24 最大手数=320 開始局面ファイル=C:\Jenkins\workspace\TanukiColiseum.2022-05-02\TanukiColiseum\taya36_2020-11-06.sfen NUMAノード数=1 表示

更新間隔(ms)=3600000

思考エンジン1 name=YaneuraOu NNUE 7.10 64ZEN2 TOURNAMENT author=by yaneurao exeファイル=C:\Jenkins\workspace\TanukiColiseum.2022-05-02\engine1\source\YaneuraOu-by-gcc.exe 評価関数フォルダパス

=D:\hnoda\shogi\eval\halfkp_1024x2-8-32.add.nodes=2M.eta2=0.00015625\final 定跡手数=256 定跡ファイル名=no_book 思考ノード数=0 思考ノード数に加える乱数(%)=0 思考ノード数の乱数を1手毎に変化させ

る=False 持ち時間(ms)=300000 秒読み時間(ms)=0 加算時間(ms)=2000 乱数付き思考時間(ms)=0 スレッド数=1 BookEvalDiff=30 定跡の採択率を考慮する=false 定跡の手数を無視する=false SlowMover=100 DrawValue=-2 BookEvalBlackLimit=0 BookEvalWhiteLimit=-140 FVScale1=16

思考エンジン2 name=YaneuraOu NNUE 7.10 64ZEN2 TOURNAMENT author=by yaneurao exeファイル=C:\Jenkins\workspace\TanukiColiseum.2022-05-02\engine2\source\YaneuraOu-by-gcc.exe 評価関数フォルダパス

=D:\hnoda\shogi\eval\halfkp_1024x2-8-32\final 定跡手数=256 定跡ファイル名=no_book 思考ノード数=0 思考ノード数に加える乱数(%)=0 思考ノード数の乱数を1手毎に変化させる=False 持ち時間(ms)=300000

秒読み時間(ms)=0 加算時間(ms)=2000 乱数付き思考時間(ms)=0 スレッド数=1 BookEvalDiff=30 定跡の採択率を考慮する=false 定跡の手数を無視する=false SlowMover=100 DrawValue=-2 BookEvalBlackLimit=0

BookEvalWhiteLimit=-140 FVScale2=16

対局数2000 先手勝ち805(54.1%) 後手勝ち683(45.9%) 引き分け512

engine1

勝ち538(36.2% R-72.6 +-15.6) 先手勝ち292(19.6%) 後手勝ち246(16.5%)

宣言勝ち74 先手宣言勝ち36 後手宣言勝ち38 先手引き分け270 後手引き分け242

engine2

勝ち950(63.8%) 先手勝ち513(34.5%) 後手勝ち437(29.4%)

宣言勝ち20 先手宣言勝ち11 後手宣言勝ち9 先手引き分け242 後手引き分け270

538,512,950

対局数=2000 同時対局数=64 ハッシュサイズ=512 開始手数=24 最大手数=320 開始局面ファイル=C:\Jenkins\workspace\TanukiColiseum.2022-05-02\TanukiColiseum\taya36_2020-11-06.sfen NUMAノード数=1 表示

更新間隔(ms)=3600000

思考エンジン1 name=YaneuraOu NNUE 7.10 64ZEN2 TOURNAMENT author=by yaneurao exeファイル=C:\Jenkins\workspace\TanukiColiseum.2022-05-02\engine1\source\YaneuraOu-by-gcc.exe 評価関数フォルダパス

=D:\hnoda\shogi\eval\halfkp_1024x2-8-32.add.nodes=2M.eta2=7.8125e-05\final 定跡手数=256 定跡ファイル名=no_book 思考ノード数=0 思考ノード数に加える乱数(%)=0 思考ノード数の乱数を1手毎に変化させ

る=False 持ち時間(ms)=300000 秒読み時間(ms)=0 加算時間(ms)=2000 乱数付き思考時間(ms)=0 スレッド数=1 BookEvalDiff=30 定跡の採択率を考慮する=false 定跡の手数を無視する=false SlowMover=100 DrawValue=-2 BookEvalBlackLimit=0 BookEvalWhiteLimit=-140 FVScale1=16

思考エンジン2 name=YaneuraOu NNUE 7.10 64ZEN2 TOURNAMENT author=by yaneurao exeファイル=C:\Jenkins\workspace\TanukiColiseum.2022-05-02\engine2\source\YaneuraOu-by-gcc.exe 評価関数フォルダパス

=D:\hnoda\shogi\eval\halfkp_1024x2-8-32\final 定跡手数=256 定跡ファイル名=no_book 思考ノード数=0 思考ノード数に加える乱数(%)=0 思考ノード数の乱数を1手毎に変化させる=False 持ち時間(ms)=300000

秒読み時間(ms)=0 加算時間(ms)=2000 乱数付き思考時間(ms)=0 スレッド数=1 BookEvalDiff=30 定跡の採択率を考慮する=false 定跡の手数を無視する=false SlowMover=100 DrawValue=-2 BookEvalBlackLimit=0

BookEvalWhiteLimit=-140 FVScale2=16

対局数2000 先手勝ち855(53.4%) 後手勝ち747(46.6%) 引き分け398

engine1

勝ち598(37.3% R-71.5 +-15.6) 先手勝ち315(19.7%) 後手勝ち283(17.7%)

宣言勝ち64 先手宣言勝ち27 後手宣言勝ち37 先手引き分け220 後手引き分け178

engine2

勝ち1004(62.7%) 先手勝ち540(33.7%) 後手勝ち464(29.0%)

宣言勝ち14 先手宣言勝ち3 後手宣言勝ち11 先手引き分け178 後手引き分け220

598,398,1004

対局数=2000 同時対局数=64 ハッシュサイズ=512 開始手数=24 最大手数=320 開始局面ファイル=C:\Jenkins\workspace\TanukiColiseum.2022-05-02\TanukiColiseum\taya36_2020-11-06.sfen NUMAノード数=1 表示

更新間隔(ms)=3600000

思考エンジン1 name=YaneuraOu NNUE 7.10 64ZEN2 TOURNAMENT author=by yaneurao exeファイル=C:\Jenkins\workspace\TanukiColiseum.2022-05-02\engine1\source\YaneuraOu-by-gcc.exe 評価関数フォルダパス

=D:\hnoda\shogi\eval\halfkp_1024x2-8-32.add.nodes=2M.eta2=3.90625e-05\final 定跡手数=256 定跡ファイル名=no_book 思考ノード数=0 思考ノード数に加える乱数(%)=0 思考ノード数の乱数を1手毎に変化さ

せる=False 持ち時間(ms)=300000 秒読み時間(ms)=0 加算時間(ms)=2000 乱数付き思考時間(ms)=0 スレッド数=1 BookEvalDiff=30 定跡の採択率を考慮する=false 定跡の手数を無視する=false SlowMover=100 DrawValue=-2 BookEvalBlackLimit=0 BookEvalWhiteLimit=-140 FVScale1=16

思考エンジン2 name=YaneuraOu NNUE 7.10 64ZEN2 TOURNAMENT author=by yaneurao exeファイル=C:\Jenkins\workspace\TanukiColiseum.2022-05-02\engine2\source\YaneuraOu-by-gcc.exe 評価関数フォルダパス

=D:\hnoda\shogi\eval\halfkp_1024x2-8-32\final 定跡手数=256 定跡ファイル名=no_book 思考ノード数=0 思考ノード数に加える乱数(%)=0 思考ノード数の乱数を1手毎に変化させる=False 持ち時間(ms)=300000

秒読み時間(ms)=0 加算時間(ms)=2000 乱数付き思考時間(ms)=0 スレッド数=1 BookEvalDiff=30 定跡の採択率を考慮する=false 定跡の手数を無視する=false SlowMover=100 DrawValue=-2 BookEvalBlackLimit=0

BookEvalWhiteLimit=-140 FVScale2=16

対局数2000 先手勝ち848(51.3%) 後手勝ち805(48.7%) 引き分け347

engine1

勝ち662(40.0% R-57.7 +-15.4) 先手勝ち335(20.3%) 後手勝ち327(19.8%)

宣言勝ち61 先手宣言勝ち32 後手宣言勝ち29 先手引き分け188 後手引き分け159

engine2

勝ち991(60.0%) 先手勝ち513(31.0%) 後手勝ち478(28.9%)

宣言勝ち9 先手宣言勝ち2 後手宣言勝ち7 先手引き分け159 後手引き分け188

662,347,991

対局数=2000 同時対局数=64 ハッシュサイズ=512 開始手数=24 最大手数=320 開始局面ファイル=C:\Jenkins\workspace\TanukiColiseum.2022-05-02\TanukiColiseum\taya36_2020-11-06.sfen NUMAノード数=1 表示

更新間隔(ms)=3600000

思考エンジン1 name=YaneuraOu NNUE 7.10 64ZEN2 TOURNAMENT author=by yaneurao exeファイル=C:\Jenkins\workspace\TanukiColiseum.2022-05-02\engine1\source\YaneuraOu-by-gcc.exe 評価関数フォルダパス

=D:\hnoda\shogi\eval\halfkp_1024x2-8-32.add.nodes=2M.eta2=1.953125e-05\final 定跡手数=256 定跡ファイル名=no_book 思考ノード数=0 思考ノード数に加える乱数(%)=0 思考ノード数の乱数を1手毎に変化さ

せる=False 持ち時間(ms)=300000 秒読み時間(ms)=0 加算時間(ms)=2000 乱数付き思考時間(ms)=0 スレッド数=1 BookEvalDiff=30 定跡の採択率を考慮する=false 定跡の手数を無視する=false SlowMover=100 DrawValue=-2 BookEvalBlackLimit=0 BookEvalWhiteLimit=-140 FVScale1=16

思考エンジン2 name=YaneuraOu NNUE 7.10 64ZEN2 TOURNAMENT author=by yaneurao exeファイル=C:\Jenkins\workspace\TanukiColiseum.2022-05-02\engine2\source\YaneuraOu-by-gcc.exe 評価関数フォルダパス

=D:\hnoda\shogi\eval\halfkp_1024x2-8-32\final 定跡手数=256 定跡ファイル名=no_book 思考ノード数=0 思考ノード数に加える乱数(%)=0 思考ノード数の乱数を1手毎に変化させる=False 持ち時間(ms)=300000

秒読み時間(ms)=0 加算時間(ms)=2000 乱数付き思考時間(ms)=0 スレッド数=1 BookEvalDiff=30 定跡の採択率を考慮する=false 定跡の手数を無視する=false SlowMover=100 DrawValue=-2 BookEvalBlackLimit=0

BookEvalWhiteLimit=-140 FVScale2=16

対局数2000 先手勝ち874(54.4%) 後手勝ち732(45.6%) 引き分け394

engine1

勝ち656(40.8% R-51.4 +-15.4) 先手勝ち364(22.7%) 後手勝ち292(18.2%)

宣言勝ち70 先手宣言勝ち40 後手宣言勝ち30 先手引き分け193 後手引き分け201

engine2

勝ち950(59.2%) 先手勝ち510(31.8%) 後手勝ち440(27.4%)

宣言勝ち9 先手宣言勝ち5 後手宣言勝ち4 先手引き分け201 後手引き分け193

656,394,950

対局数=2000 同時対局数=64 ハッシュサイズ=512 開始手数=24 最大手数=320 開始局面ファイル=C:\Jenkins\workspace\TanukiColiseum.2022-05-02\TanukiColiseum\taya36_2020-11-06.sfen NUMAノード数=1 表示

更新間隔(ms)=3600000

思考エンジン1 name=YaneuraOu NNUE 7.10 64ZEN2 TOURNAMENT author=by yaneurao exeファイル=C:\Jenkins\workspace\TanukiColiseum.2022-05-02\engine1\source\YaneuraOu-by-gcc.exe 評価関数フォルダパス

=D:\hnoda\shogi\eval\halfkp_1024x2-8-32.add.nodes=2M.eta2=9.765625e-06\final 定跡手数=256 定跡ファイル名=no_book 思考ノード数=0 思考ノード数に加える乱数(%)=0 思考ノード数の乱数を1手毎に変化さ

せる=False 持ち時間(ms)=300000 秒読み時間(ms)=0 加算時間(ms)=2000 乱数付き思考時間(ms)=0 スレッド数=1 BookEvalDiff=30 定跡の採択率を考慮する=false 定跡の手数を無視する=false SlowMover=100 DrawValue=-2 BookEvalBlackLimit=0 BookEvalWhiteLimit=-140 FVScale1=16

思考エンジン2 name=YaneuraOu NNUE 7.10 64ZEN2 TOURNAMENT author=by yaneurao exeファイル=C:\Jenkins\workspace\TanukiColiseum.2022-05-02\engine2\source\YaneuraOu-by-gcc.exe 評価関数フォルダパス

=D:\hnoda\shogi\eval\halfkp_1024x2-8-32\final 定跡手数=256 定跡ファイル名=no_book 思考ノード数=0 思考ノード数に加える乱数(%)=0 思考ノード数の乱数を1手毎に変化させる=False 持ち時間(ms)=300000

秒読み時間(ms)=0 加算時間(ms)=2000 乱数付き思考時間(ms)=0 スレッド数=1 BookEvalDiff=30 定跡の採択率を考慮する=false 定跡の手数を無視する=false SlowMover=100 DrawValue=-2 BookEvalBlackLimit=0

BookEvalWhiteLimit=-140 FVScale2=16

対局数2000 先手勝ち846(53.2%) 後手勝ち745(46.8%) 引き分け409

engine1

勝ち675(42.4% R-42.1 +-15.3) 先手勝ち357(22.4%) 後手勝ち318(20.0%)

宣言勝ち77 先手宣言勝ち40 後手宣言勝ち37 先手引き分け216 後手引き分け193

engine2

勝ち916(57.6%) 先手勝ち489(30.7%) 後手勝ち427(26.8%)

宣言勝ち8 先手宣言勝ち3 後手宣言勝ち5 先手引き分け193 後手引き分け216

675,409,916

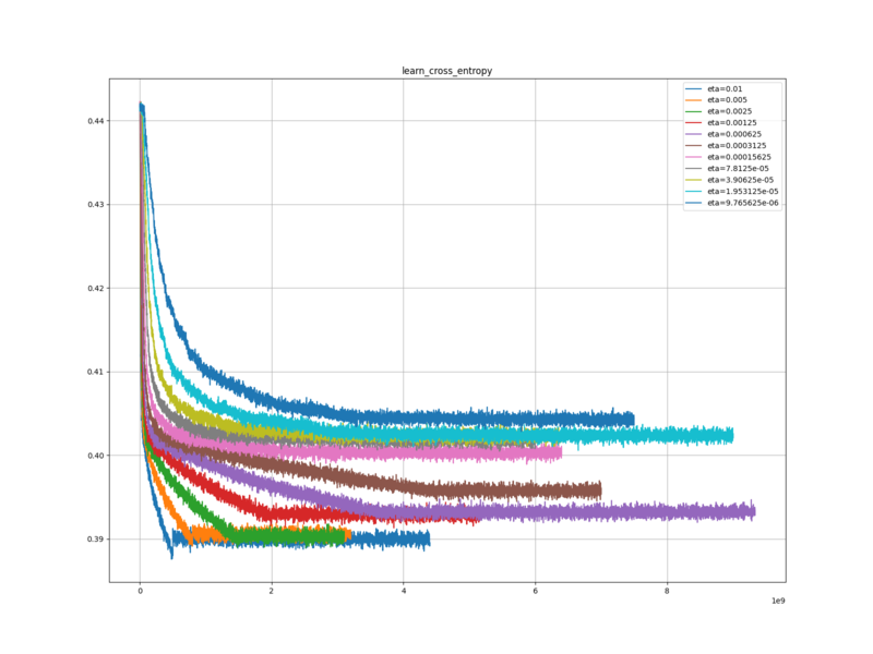
学習ロスと検証ロスは、学習率が高いほど急激に下がった。

検証ロスは、学習率が高いほど、収束したときの値が下がった。

学習率は、初期学習率が高いほど、下がりやすかった。収束が早かったとも言える。

平手局面の評価値は、学習率が高いほど高かった。

評価値の絶対値は、学習初期は上がったが、学習が進むにつれて下がった。

レーティングは、学習率が低いほど高くなる傾向があったが、いずれのパラメーターにおいても、元の評価関数より有意に低かった。

考察

学習ロスと検証ロス

学習率が高いほど早く学習が進むのは、一般的な傾向である。また、収束したときの検証ロスがもっとも低くなる学習率は、今回は 0.01 付近だった。そこから離れるほど検証ロスが上がるのも、一般的な傾向だと思われる。

学習率

学習率が高いほど収束が速くなるのは、一般的な傾向だと思われる。

平手局面の評価値

学習データの先手勝率が、平手局面の評価値に影響を与えたのだと思われる。仮に平手局面の評価値が 200 程度だった場合、学習データの先手勝率は 58% 程度だったのだと思われる。

評価値の絶対値

lambda=0.0 だったため、学習初期は、評価値が大きいほうに引っ張られたのだと思われる。一方、勝敗項の教師信号が 0.99 に設定されており、評価値に換算すると 2760 付近となり、最も大きい値がこの値に調整されたため、評価値の絶対値の平均が下がったのだと思われる。

レーティング

標準 NNUE と halfkp_1024x2-8-32 で傾向が同じだったことを考えると、高ノード数の探索を用いて生成した教師データでただ学習させるだけでは、レーティングは伸びないのだと考えられる。教師データに過学習している可能性はある。

まとめ

高ノード数の探索を用いて教師データを生成し、 halfkp_1024x2-8-32 評価関数を Fine Tuning し、レーティングを測定した。結果、レーティングは、既存の評価関数より有意に低くなってしまった。

レーティングが優位に低くなった原因が過学習にある可能性もあるため、学習途中の評価関数のレーティングも測定してみたい。